精英家教网 > 初中数学 > 题目详情

如图,AB切⊙O于点B,OA=5,tanA=,弦BC∥OA

(1)求AB的长

(2)求四边形AOCB的面积.

练习册系列答案
相关习题

科目:初中数学 来源:2017届浙江省舟山市中考模拟数学试卷(解析版) 题型:解答题

某地有一人患了流感,经过两轮传染后共有121人患了流感,每轮传染中平均一个人传染了几个人?

查看答案和解析>>

科目:初中数学 来源:2016-2017学年江苏省实验学校七年级下学期期中考试数学试卷(解析版) 题型:单选题

下列多项式相乘,不能用平方差公式计算的是( )

A. (x+3y)(x-3y) B. (-2x+3y)(-2x-3y) C. (x-2y)(2y+x) D. (2x-3y)(3y-2x)

查看答案和解析>>

科目:初中数学 来源:2017届四川省简阳市阶段教育学校5月调研考模拟数学试卷(解析版) 题型:单选题

已知△ABC的两条高的长分别为5和20,若第三条高的长也是整数,则第三条高的长的最大值为( )

A. 5 B. 6 C. 7 D. 8

查看答案和解析>>

科目:初中数学 来源:2017届四川省简阳市阶段教育学校5月调研考模拟数学试卷(解析版) 题型:选择题

下列运算正确的是( )

A.3x2+4x2=7x4 B.2x3•3x3=6x3 C.x6÷x3=x2 D.(x2)4=x8

查看答案和解析>>

科目:初中数学 来源:2017届江苏省南京市中考模拟数学试卷(解析版) 题型:解答题

如图,将给出的4张扑克牌摆成第一行的样子,然后将其中的1张牌旋转180°成第二行的样子,你能判断出被旋转过的1张牌是哪一张吗?为什么?

查看答案和解析>>

科目:初中数学 来源:2017届江苏省南京市中考模拟数学试卷(解析版) 题型:填空题

如图,已知C,D是以AB为直径的半圆周上的两点,O是圆心,半径OA=2,∠COD=120°,则图中阴影部分的面积等于

查看答案和解析>>

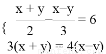
科目:初中数学 来源:2016-2017学年河北省石家庄市长安区七年级下学期期中质量检测数学试卷(解析版) 题型:解答题

解下列方程组:

(1)

(2)

查看答案和解析>>

科目:初中数学 来源:2016-2017学年江苏省附属初级中学七年级下学期期中考试数学试卷(解析版) 题型:填空题

计算: =_________.

查看答案和解析>>

同步练习册答案