精英家教网 > 初中数学 > 题目详情

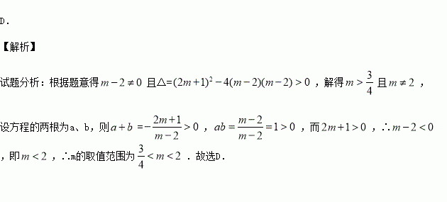
关于x的一元二次方程有两个不相等的正实数根,则m的取值范围是( )

A. B. C. D.

练习册系列答案
相关习题

科目:初中数学 来源:[首发]江苏省灌云县西片2016-2017学年七年级下学期第二次月考(5月)数学试卷 题型:单选题

若a>b,则下列各式中一定成立的是(  )

A. a+2<b+2 B. a﹣2<b﹣2 C. D. ﹣2a>﹣2b

查看答案和解析>>

科目:初中数学 来源:江苏省镇江丹阳市2017届中考二模数学试卷 题型:解答题

(1)解方程: ;(2)解不等式组:

查看答案和解析>>

科目:初中数学 来源:江苏省镇江丹阳市2017届中考二模数学试卷 题型:填空题

计算: _____.

查看答案和解析>>

科目:初中数学 来源:【全国百强校】山东省东营市2017届九年级5月模拟数学试卷 题型:填空题

分解因式:(2a+b)2﹣(a+2b)2=

查看答案和解析>>

科目:初中数学 来源:【全国百强校】山东省东营市2017届九年级5月模拟数学试卷 题型:单选题

下列计算正确的是( )

A. B. C. D.

查看答案和解析>>

科目:初中数学 来源:[中学联盟]江苏省丹阳市河阳中学2016-2017学年七年级上学期第一次月考数学试卷 题型:解答题

计算

(1)﹣(﹣2)+(﹣3); (2)(﹣7)×(﹣);

(3)﹣÷(﹣7)×(+2) ; (4)23﹣6×(﹣3)+2×(﹣4) ;

(5) (﹣5.3)+|﹣2.5|+(﹣3.2)﹣(+4.8); (6)

查看答案和解析>>

科目:初中数学 来源:[中学联盟]江苏省丹阳市河阳中学2016-2017学年七年级上学期第一次月考数学试卷 题型:单选题

四位同学画数轴如图所示,你认为正确的是(  )

A. B.

C. D.

查看答案和解析>>

科目:初中数学 来源:浙江省永康市毕业生适应性考试数学试卷及答案(word版) 题型:填空题

如图,⊙O是△ABC的外接圆,∠AOB=70°,AB=AC,则∠ABC=

查看答案和解析>>

同步练习册答案