精英家教网 > 初中数学 > 题目详情
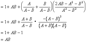
已知,求代数式:
解:设,则
       
        ∴原式
                  
         当时,原式
练习册系列答案
相关习题

科目:初中数学 来源: 题型:

本小题满分5分)

已知,求代数式的值.

 

 

查看答案和解析>>

科目:初中数学 来源: 题型:

(1)计算: |-3|-(π-3)0+2sin30°;
(2)已知:求代数式的值.

查看答案和解析>>

科目:初中数学 来源:2011~2012年江苏苏州立达中学七年级下期末考试数学试卷(带解析) 题型:解答题

计算题(每小题5分,共10分)
 
② 已知,求代数式的值.

查看答案和解析>>

科目:初中数学 来源:2013年初中毕业升学考试(北京卷)数学(解析版) 题型:解答题

已知,求代数式的值。

 

查看答案和解析>>

科目:初中数学 来源:2013届八年级第二学期期中考试数学卷(解析版) 题型:解答题

(本大题10分)课堂上,李老师出了这样一道题:已知,求代数式的值.小明觉得直接代入计算太繁了,请你来帮他解决,并写出具体过程.

 

查看答案和解析>>

同步练习册答案