精英家教网 > 初中数学 > 题目详情

如图,一次函数y=kx+b的图象分别与反比例函数y=的图象在第一象限交于点A(4,3),与y轴的负半轴交于点B,且OA=OB.

(1)求函数y=kx+b和y=的表达式;

(2)已知点C(0,5),试在该一次函数图象上确定一点M,使得MB=MC,求此时点M的坐标.

练习册系列答案
相关习题

科目:初中数学 来源:2015-2016学年江苏省南通市八年级下学期期中考试数学试卷(解析版) 题型:填空题

如图所示,平行四边形ABCD中,对角线AC,BD相交于点O,过点O的直线分别交AD、BC于点M、N,若△CON的面积为2,△DOM的面积为4,则△AOB的面积为_______.

查看答案和解析>>

科目:初中数学 来源:2017届广东省汕头市澄海区九年级5月中考模拟数学试卷(解析版) 题型:单选题

8的平方根是

A. 2 B. C. D.

查看答案和解析>>

科目:初中数学 来源:2017届福建省九年级下学期第二次质量检测数学试卷(解析版) 题型:单选题

如图,在⊙O中,半径为6,∠ACB=300,则弧AB的长度为( )

A. π B. 2π C. 3π D. 4π

查看答案和解析>>

科目:初中数学 来源:2017届福建省九年级下学期第二次质量检测数学试卷(解析版) 题型:选择题

已知地球上海洋面积约为361 000 000km2,361 000 000用科学记数法可表示为( )

A.3.61×106 B.3.61×107 C.3.61×108 D.3.61×109

查看答案和解析>>

科目:初中数学 来源:2017届安徽六安叶集区桥店中学九年级中考模拟数学试卷(解析版) 题型:判断题

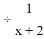
计算:

查看答案和解析>>

科目:初中数学 来源:2017届安徽六安叶集区桥店中学九年级中考模拟数学试卷(解析版) 题型:选择题

(2013•恩施州模拟)如图,小正方形的边长均为1,则图中三角形(阴影部分)与△ABC相似的是( )

A. B. C. D.

查看答案和解析>>

科目:初中数学 来源:2016-2017学年广东省深圳市宝安区八年级下学期期中考试数学试卷(解析版) 题型:填空题

如图,在△ABC中,AB=4,BC=6,∠B=60°,将△ABC沿射线BC的方向平移2个单位后,得到△A′B′C′,连接A′C,则△A′B′C的周长为____;

查看答案和解析>>

科目:初中数学 来源:2017届上海市静安区初三第二学期期中教学质量检测数学试卷(解析版) 题型:解答题

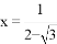
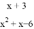
化简:(,并求时的值.

查看答案和解析>>

同步练习册答案