精英家教网 > 初中数学 > 题目详情

如图,已知等边△ABC,以AB为直径向外做半圆.

(1)请用直尺和圆规作该半圆的三等点D、E;(要保留作图痕迹,不写作法与证明)

(2)连接CD交AB于F,求的值

练习册系列答案
相关习题

科目:初中数学 来源:2016-2017学年浙江省宁波市九校八年级下学期期中联考数学试卷(解析版) 题型:单选题

如图,①②③④⑤五个平行四边形拼成一个含30度内角的菱形EFGH(不重叠无缝隙).若①②③④四个平行四边形面积的和为26cm2,四边形ABCD面积是19cm2,则①②③④四个平行四边形周长的总和为( )

A. 96cm B. 64cm C. 48cm D. 36cm

查看答案和解析>>

科目:初中数学 来源:2017届湖南省娄底市九年级中考一模数学试卷(解析版) 题型:解答题

如图,D为⊙O上一点,点C在直径BA的延长线上,且∠CDA=∠CBD.

(1)求证:CD是⊙O的切线;

(2)过点B作⊙O的切线交CD的延长线于点E,BC=6, .求BE的长.

查看答案和解析>>

科目:初中数学 来源:2017届湖南省娄底市九年级中考一模数学试卷(解析版) 题型:单选题

将数字“6”旋转180°,得到数字“9”,将数字“9”旋转180°,得到数字“6”,现将数字“69”旋转180°,得到的数字是( )

A. 96 B. 69 C. 66 D. 99

查看答案和解析>>

科目:初中数学 来源:2017届湖南省娄底市九年级中考一模数学试卷(解析版) 题型:单选题

﹣3的相反数是( )

A. B. C. 3 D. ﹣3

查看答案和解析>>

科目:初中数学 来源:2017届浙江省杭州市九年级3月教学质量检测(模拟)数学试卷(解析版) 题型:填空题

甲、乙两人从A,B两地出发,甲骑自行车,乙骑摩托车,沿同一条路线相向匀速行驶。出发后经3小时两人相遇。已知在相遇时乙比甲多行驶了90千米,相遇后经1小时乙达到A地。若设甲每小时行驶x千米,则可列方程为 _______________________ 。

查看答案和解析>>

科目:初中数学 来源:2017届浙江省杭州市九年级3月教学质量检测(模拟)数学试卷(解析版) 题型:单选题

已知关于x的分式方程的根为正数,则m的取值范围为( )

A. B. C. D.

查看答案和解析>>

科目:初中数学 来源:2016-2017学年河北省唐山市路南区八年级下学期期中质量检测数学试卷(解析版) 题型:填空题

比较大小:__.(填“>”、“=”、“<”).

查看答案和解析>>

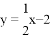
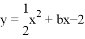
科目:初中数学 来源:2017届上海市宝山区九年级第二学期期中考试数学试卷(解析版) 题型:解答题

如图,已知直线与x轴交于点B,与y轴交于点C,抛物线

与x轴交于A、B两点(A在B的左侧),与y轴交于点C.

(1)求抛物线的解析式;

(2)点M是上述抛物线上一点,如果△ABM和△ABC相似,求点M的坐标;

(3)连接AC,求顶点D、E、F、G在△ABC各边上的矩形DEFC面积最大时,写出该矩形在AB边上的顶点的坐标.

查看答案和解析>>

同步练习册答案