精英家教网 > 初中数学 > 题目详情

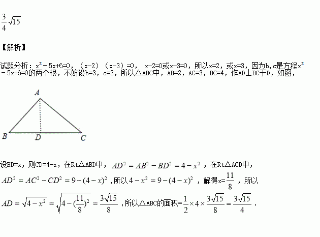
已知a=4,b,c是方程x2﹣5x+6=0的两个根,则以a、b、c为三边的三角形面积是__________.

练习册系列答案
相关习题

科目:初中数学 来源:2016届福建省莆田市九年级下学期第一次月考数学试卷(解析版) 题型:填空题

一个等腰三角形静的两边长分别为5或6,则这个等腰三角形的周长是

查看答案和解析>>

科目:初中数学 来源:2016届新疆哈密市九年级上学期期中考试数学试卷(解析版) 题型:解答题

要建一个如图所示的面积为300 的长方形围栏,围栏总长50m,一边靠墙(墙长25m),

(1)求围栏的长和宽;

(2)能否围成面积为400 的长方形围栏?如果能,求出该长方形的长和宽,如果不能请说明理由。

查看答案和解析>>

科目:初中数学 来源:2016届新疆哈密市九年级上学期期中考试数学试卷(解析版) 题型:选择题

关于x的一元二次方程kx2-4x-1=0有两个实数根,则k的取值范围是( )

A.k≥-4 B.k≥4 C.k>-4且k≠0 D.k≥-4且k≠0

查看答案和解析>>

科目:初中数学 来源:2015-2016学年浙江省杭州市大江东八年级下学期期中考试数学试卷(解析版) 题型:解答题

如图,在平行四边形ABCD中,AE、BF分别平分∠DAB和∠ABC,交CD于点E、F,AE、BF相交于点M.

(1)试说明:AE⊥BF;

(2)判断线段DF与CE的大小关系,并予以说明.

查看答案和解析>>

科目:初中数学 来源:2015-2016学年浙江省杭州市大江东八年级下学期期中考试数学试卷(解析版) 题型:选择题

如图,已知△ABC中,∠ABC=90°,AB=BC,三角形的顶点在相互平行的三条直线l1,l2, l3上,且l1,l2之间的距离为2 , l2,l3之间的距离为3 ,则AC的长是 ( )

A. B. C. D.7

查看答案和解析>>

科目:初中数学 来源:2015-2016学年浙江省杭州市大江东八年级下学期期中考试数学试卷(解析版) 题型:选择题

在某校“我的中国梦”演讲比赛中,有9名学生参加比赛,他们决赛的最终成绩各不相同,其中的一名学生要想知道自己能否进入前5名,不仅要了解自己的成绩,还要了解这9名学生成绩的( )

A. 众数 B. 方差 C. 平均数 D. 中位数

查看答案和解析>>

科目:初中数学 来源:2015-2016学年浙江省杭州市大江东七年级下学期期中考试数学试卷(解析版) 题型:选择题

已知多项式ax+b与2x2﹣x+1的乘积展开式中不含x的一次项,且常数项为-2,则ab的值为( )

A.﹣4 B. C. D. 4

查看答案和解析>>

科目:初中数学 来源:2015-2016学年四川省眉山市华兴联谊学校七年级下学期期中数学试卷(解析版) 题型:解答题

解不等式:

查看答案和解析>>

同步练习册答案