精英家教网 > 初中数学 > 题目详情

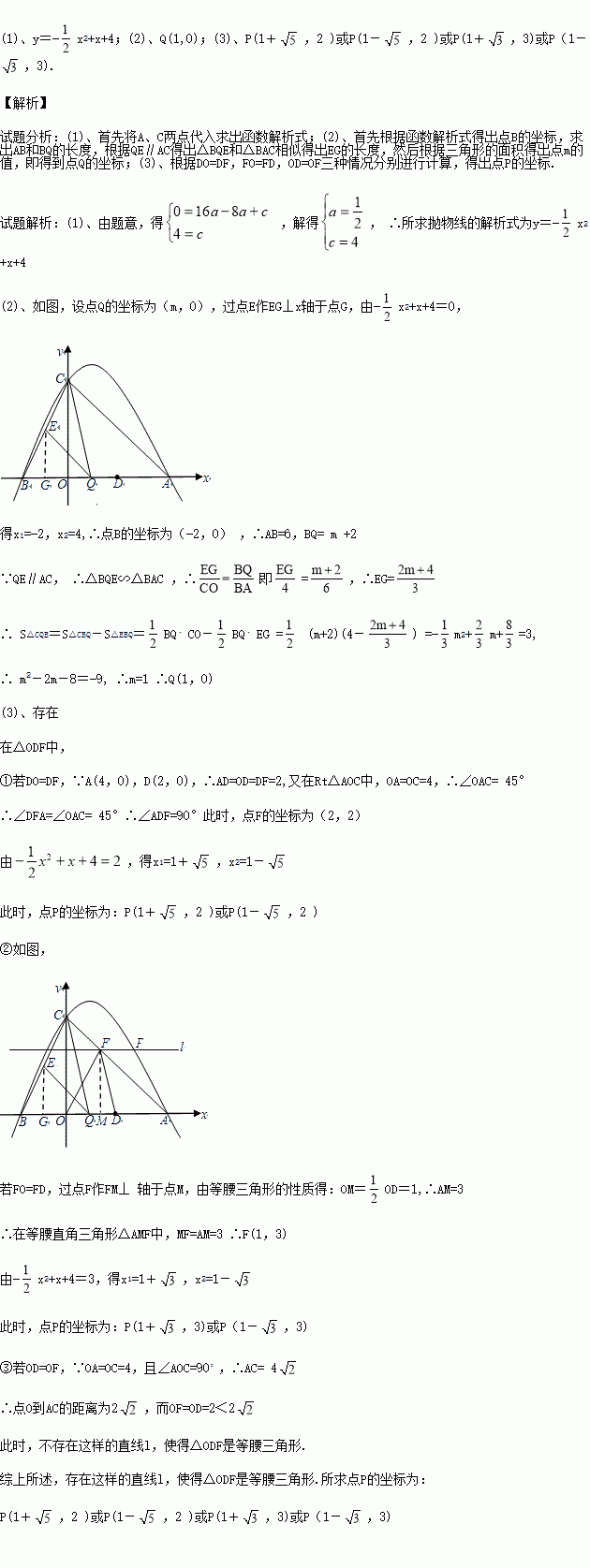
如图,抛物线y=ax2-2ax+c(a≠0)与y轴交于点C(0,4),与x轴交于点A、B,点A的坐标为(4,0).

(1)求该抛物线的解析式;

(2)点Q是线段AB上的动点,过点Q作QE∥AC,交BC于点E,连接CQ,当△CQE的面积为3时,求点Q的坐标;

(3)若平行于x轴的动直线l与该抛物线交于点P,与直线AC交于点F,点D的坐标为(2,0).问:是否存在这样的直线l,使得△ODF是等腰三角形?若存在,请求出点P的坐标;若不存在,请说明理由.

练习册系列答案
相关习题

科目:初中数学 来源:2016届浙江省绍兴市浣江教育集团九年级下学期3月检测数学试卷(解析版) 题型:解答题

如图,已知抛物线y=与x轴交于A、B两点.

(1)点A的坐标是 ,点B的坐标是 ,抛物线的对称轴是直线

(2)将抛物线向上平移m个单位,与x轴交于C、D两点(点C 在点D的左边).若CD:AB=3:4,求m的值;

(3)点P是(2)中平移后的抛物线上y轴右侧部分的点,直线y=2x+b(b0)与 x、y轴分别交于点E、F.若以EF为直角边的三角形PEF与△OEF相似,直接写出点P的坐标.

查看答案和解析>>

科目:初中数学 来源:2016届浙江省金华市九年级下学期六校联考数学试卷(解析版) 题型:选择题

若反比例函数的图象经过点,则这个函数的图象一定经过点( )

A. B. C. D.

查看答案和解析>>

科目:初中数学 来源:2016届浙江省九年级下学期3月阶段考试数学试卷(解析版) 题型:填空题

半径为13cm的⊙O中,弦AB=10cm,则圆心O到AB的距离为 cm.

查看答案和解析>>

科目:初中数学 来源:2016届浙江省九年级下学期3月阶段考试数学试卷(解析版) 题型:选择题

如图,在△ABC中,∠C=36°,将△ABC绕点A逆时针旋转60°得到△AED,AD与BC交于点F,则∠AFC的度数为( )

A.84º B.80º C.60º D. 90º

查看答案和解析>>

科目:初中数学 来源:2016届四川省安岳县永清辖区九年级3月月考数学试卷(解析版) 题型:解答题

小明与他的父亲、母亲计划五一期间外出旅游,初步选择了广安、绵阳、泸州、眉山四个城市,由于时间仓促,他们只能去一个城市,到底去哪一个城市三个人意见不统一,在这种情况下,小明父亲建议,用小明学过的摸球游戏来决定,规则如下:

①在一个不透明的袋子中装一个红球(广安)、一个白球(绵阳)、一个黄球(泸州)和一个黑球(眉山),这四个球除颜色不同外,其余完全相同;

②小明父亲先将袋中球摇匀,让小明从袋中随机摸出一球,父亲记录下其颜色,并将这个球放回袋中摇匀,然后让小明母亲从袋中随机摸出一球,父亲记录下它的颜色;

③若两人所摸出球的颜色相同,则去该球所表示的城市旅游,否则,前面的记录作废,按规则②重新摸球,直到两人所摸出求的颜色相同为止.

按照上面的规则,请你解答下列问题:

(1)、已知小明的理想旅游城市是绵阳,小明和母亲随机各摸球一次,请用画树状图求出他们均摸出白球的概率.

(2)、已知小明母亲的理想旅游城市是泸州,小明和母亲随机各摸球一次,则他们至少有一人摸出黄球的概率是多少?

查看答案和解析>>

科目:初中数学 来源:2016届四川省安岳县永清辖区九年级3月月考数学试卷(解析版) 题型:填空题

如图,已知△ABC中,∠ABC=45°,F是高AD和BE的交点,CD=4,则线段DF的长是 .

查看答案和解析>>

科目:初中数学 来源:2016届辽宁省大石桥市九年级4月阶段检测数学试卷(解析版) 题型:解答题

袋中装有除颜色外完全相同的2个红球和1个绿球.

(1)现从袋中摸出1个球后放回,混合均匀后再摸出1个球.请用画树状图或列表的方法,求第一次摸到绿球,第二次摸到红球的概率;

(2)先从袋中摸出1个球后不放回,再摸出1个球,则两次摸到的球中有1个绿球和1个红球的概率是多少?请直接写出结果.

查看答案和解析>>

科目:初中数学 来源:2015-2016学年江苏宜城环科园教学联盟七年级下第一次月考数学试卷(解析版) 题型:选择题

解方程,得为( )

A. 2 B. 4 C. 6 D. 8

查看答案和解析>>

同步练习册答案