精英家教网 > 初中数学 > 题目详情

2017的相反数是(  )

A. 2017 B. ﹣2017 C. D. ﹣

练习册系列答案
相关习题

科目:初中数学 来源:2015-2016学年江苏省南通市八年级下学期期中考试数学试卷(解析版) 题型:解答题

如图,矩形ABCD中,AC与BD交于点O,BE⊥AC于E,CF⊥BD于F.

求证:BE=CF.

查看答案和解析>>

科目:初中数学 来源:2017届广东省汕头市澄海区九年级5月中考模拟数学试卷(解析版) 题型:选择题

一个正多边形的每个外角都等于36°,那么它是( )

A.正六边形 B.正八边形 C.正十边形 D.正十二边形

查看答案和解析>>

科目:初中数学 来源:2017届福建省九年级下学期第二次质量检测数学试卷(解析版) 题型:填空题

二次函数y=x2-4x+7的顶点坐标是_____________

查看答案和解析>>

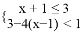
科目:初中数学 来源:2017届福建省九年级下学期第二次质量检测数学试卷(解析版) 题型:单选题

不等式组的解集为(  )

A. B. C. D.

查看答案和解析>>

科目:初中数学 来源:2017届安徽六安叶集区桥店中学九年级中考模拟数学试卷(解析版) 题型:解答题

每年的6至8月份是台风多发季节,某次台风来袭时,一棵大树树干AB(假定树干AB垂直于地面)被刮倾斜15°后折断倒在地上,树的项部恰好接触到地面D(如图所示),量得树干的倾斜角为∠BAC=15°,大树被折断部分和地面所成的角∠ADC=60°,

AD=4米,求这棵大树AB原来的高度是多少米?(结果精确到个位)

查看答案和解析>>

科目:初中数学 来源:2017届安徽六安叶集区桥店中学九年级中考模拟数学试卷(解析版) 题型:填空题

分解因式:x2-6x2y+9x2y2=____________.

查看答案和解析>>

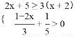
科目:初中数学 来源:2016-2017学年广东省深圳市宝安区八年级下学期期中考试数学试卷(解析版) 题型:解答题

(1)解不等式组: ,并写出整数解.

(2)解不等式组:,并把它的解集在所示的数轴上表示出来.

查看答案和解析>>

科目:初中数学 来源:2017届上海市静安区初三第二学期期中教学质量检测数学试卷(解析版) 题型:解答题

已知:如图,在菱形ABCD中,点E在边BC上,点F在BA的延长线上,BE=AF,CF//AE,CF与边AD相交于点G.

求证:(1)FD=CG;

(2).

查看答案和解析>>

同步练习册答案