精英家教网 > 初中数学 > 题目详情

解方程或化简

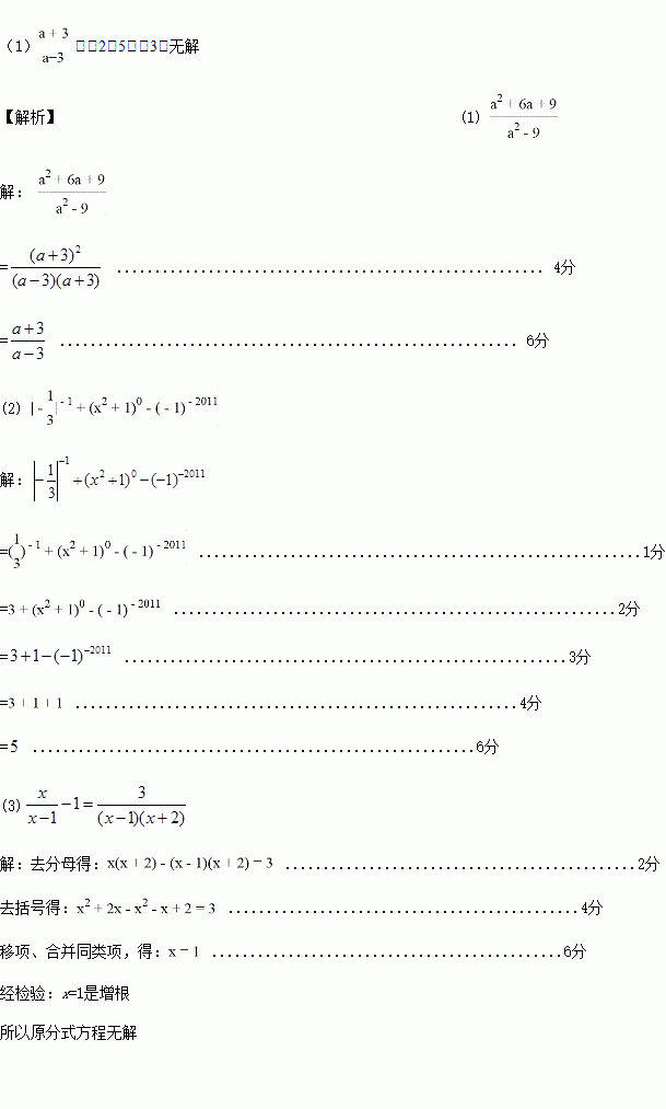
(1)

(2)

(3)

练习册系列答案
相关习题

科目:初中数学 来源:四川省巴中市南江县2016-2017学年七年级下学期期末考试数学试卷 题型:填空题

已知△ABC中,∠A=∠B=∠C,则△ABC为___________三角形。

查看答案和解析>>

科目:初中数学 来源:吉林省2016-2017学年七年级下学期第二次月考数学试卷 题型:解答题

△ABC中,∠A=60°,点D、E分别是△ABC边AC、AB上的点(不与A、B、C重合),点P是一动点,令∠PDC=∠1,∠PEB=∠2,∠DPE=∠α.

(1)若点P在边BC上,如图l,且∠α=50°,则∠1+∠2=   °.

(2)若点P在边BC上运动,如图2,试判断∠α、∠1、∠2之间的关系,并证明.

(3)直接写出:若点P运动到△ABC形外,如图3,则∠α、∠l、∠2之间的关系为

查看答案和解析>>

科目:初中数学 来源:吉林省2016-2017学年七年级下学期第二次月考数学试卷 题型:单选题

如图所示,∠等于( )

A. 35° B. 70° C. 75° D. 105°

查看答案和解析>>

科目:初中数学 来源:四川省外国语实验学校2016-2017学年八年级下学期第二学段考试数学A卷试卷 题型:解答题

某市火车运货站现有甲种货物1 530吨,乙种货物l l50 吨,安排用一列货车将这批货物运往广州,这种货车可挂A、B两种不同规格的货厢50节.已知用一节A型货厢的运费是0.5万元,用一节B型货厢的运费是0.8万元.

(1)设运输这批货物的总运费y(万元),用A型货厢的节数为x(节),试写出y与x之间的函数关系式;

(2)已知甲种货物35吨和乙种货物15吨可装满一节A型货厢,甲种货物25吨和乙种货物35吨可装满一节B型货厢.按此要求安排A、B两种货厢的节数,有哪几种运输方案?请你设计出来;

(3)利用函数性质说明,在这些方案中,哪种方案总运费最少?最少运费是多少万元?

查看答案和解析>>

科目:初中数学 来源:四川省外国语实验学校2016-2017学年八年级下学期第二学段考试数学A卷试卷 题型:填空题

已知,则分式= ______________.

查看答案和解析>>

科目:初中数学 来源:四川省外国语实验学校2016-2017学年八年级下学期第二学段考试数学A卷试卷 题型:单选题

若点,(),(1,y3)都在反比例函数的图象上,则( )

A. B. C. D.

查看答案和解析>>

科目:初中数学 来源:河北省保定市高阳县2016-2017学年八年级下学期期末考试数学试卷 题型:解答题

如图,直线l1的解析表达式为:y=-3x+3,且l1与x轴交于点D,直线l2经过点A,B,直线l1,l2交于点C.

(1)求点D的坐标;

(2)求直线l2的解析表达式;

(3)求△ADC的面积;

(4)在直线l2上存在异于点C的另一点P,使得△ADP与△ADC的面积相等,请直接写出点P的坐标.

查看答案和解析>>

科目:初中数学 来源:四川外语学院重庆第二外国语学校2016-2017学年七年级下学期第二次月考(期中)数学试卷 题型:单选题

如图,直线,C是MN上一点,CE交PQ于A,CF交PQ于B,且∠ECF=90°,如果∠FBQ=50°,则∠ECM的度数为( )

A. 60° B. 50° C. 30° D. 40°

查看答案和解析>>

同步练习册答案