精英家教网 > 初中数学 > 题目详情

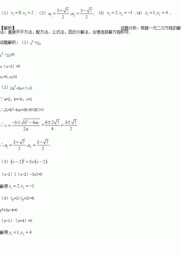
解方程:

(1)x2 = 2x (2)2a2-6a+1=0

(3) (4) (y+1)(y+2)=6

练习册系列答案
相关习题

科目:初中数学 来源:江苏省南通市2016-2017学年八年级下学期期中考试数学试卷 题型:填空题

如图将□ABCD沿对角线AC折叠,使点B落在点B’处.若∠1=∠2=44°,则∠B为____°.

查看答案和解析>>

科目:初中数学 来源:2016-2017学年贵州省遵义市第二学期八年级半期模拟考试数学试卷(解析版) 题型:解答题

在正方形ABCD中,CE=DF,求证:AE⊥BF.

查看答案和解析>>

科目:初中数学 来源:2016-2017学年贵州省遵义市第二学期八年级半期模拟考试数学试卷(解析版) 题型:单选题

下列各式是最简二次根式的是( )

A. B. C. D.

查看答案和解析>>

科目:初中数学 来源:2016-2017学年贵州省遵义市第二学期八年级半期模拟考试数学试卷(解析版) 题型:单选题

如果有意义,那么的取值范围是( )

A. B. C. D.

查看答案和解析>>

科目:初中数学 来源:2016-2017学年浙江省桐乡市现代片区八年级3月月考数学试卷(解析版) 题型:填空题

方程的解是_______________.

查看答案和解析>>

科目:初中数学 来源:2016-2017学年浙江省桐乡市现代片区八年级3月月考数学试卷(解析版) 题型:单选题

下列方程中,没有实数根的是( )

A. 3x2-x+2=0 B. 4x2+4x+1=0

C. x2-3x-4=0 D. x2-x-1=0

查看答案和解析>>

科目:初中数学 来源:2016-2017学年福建省仙游县郊尾、枫亭五校教研小片区八年级下学期第一次月考数学试卷(解析版) 题型:解答题

计算:

查看答案和解析>>

科目:初中数学 来源:2017届山东省安丘市九年级中考模拟考试数学试卷(解析版) 题型:解答题

我市某工艺品厂生产一款工艺品、已知这款工艺品的生产成本为每件60元.经市场调研发现:该款工艺品每天的销售量y(件)与售价x(元)之间存在着如下表所示的一次函数关系.

售价x(元)

70

90

销售量y(件)

3000

1000

(利润=(售价﹣成本价)×销售量)

(1)求销售量y(件)与售价x(元)之间的函数关系式;

(2)你认为如何定价才能使工艺品厂每天获得的利润为40000元?

查看答案和解析>>

同步练习册答案