精英家教网 > 初中数学 > 题目详情

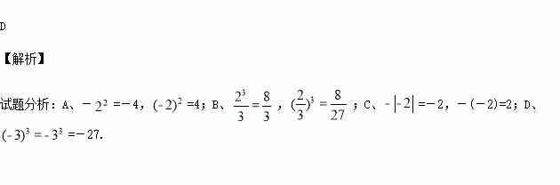
下面各组数中,相等的一组是 ( )

A. B.

C. D.

练习册系列答案
相关习题

科目:初中数学 来源:2017届浙江杭州萧山区城北片九年级上期中质检数学卷(解析版) 题型:选择题

如图,⊙O的半径为5,AB为弦,半径OC⊥AB,垂足为点E,若OE=3,则AB的长是( )

A.4 B.6 C.8 D.10

查看答案和解析>>

科目:初中数学 来源:2016-2017学年江西抚州崇仁一中九年级上期中数学试卷(解析版) 题型:填空题

把方程x(x﹣1)=2(x﹣2)化为一元二次方程的一般形式为

查看答案和解析>>

科目:初中数学 来源:2016-2017学年四川自贡富顺三中七年级上期中考试数学试卷(解析版) 题型:填空题

化简()- () 的结果是 .

查看答案和解析>>

科目:初中数学 来源:2016-2017学年四川自贡富顺三中七年级上期中考试数学试卷(解析版) 题型:选择题

多项式的各项分别是( )

A., ,1 B.,-,-1

C., ,1 D.以上答案都不对

查看答案和解析>>

科目:初中数学 来源:2016-2017学年浙江杭州萧山区临浦片八年级上期中考数学卷(解析版) 题型:解答题

某商店购买60件A商品和30件B商品共用了1080元,购买50件A商品和20件B商品共用了880元.

(1)A、B两种商品的单价分别是多少元?

(2)已知该商店购买B商品的件数比购买A商品的件数的2倍少4件,如果需要购买A、B两种商品的总件数不少于32件,且该商店购买的A、B两种商品的总费用不超过296元,那么该商店有哪几种购买方案?

查看答案和解析>>

科目:初中数学 来源:2016-2017学年浙江杭州萧山区临浦片八年级上期中考数学卷(解析版) 题型:填空题

如图△ABC中,∠ C=90° ,AD平分∠BAC,交BC于点D,CD=4,则点D到AB的距离为________.

查看答案和解析>>

科目:初中数学 来源:2016-2017学年浙江杭州萧山区临浦片七年级上期中考试数学卷(解析版) 题型:计算题

计算:

查看答案和解析>>

科目:初中数学 来源:2016-2017学年浙江桐乡现代片四校八年级上期中考试数学卷(解析版) 题型:选择题

如图,过△ABC的顶点A,作BC边上的高,以下作法正确的是( )

A. B. C. D.

查看答案和解析>>

同步练习册答案