精英家教网 > 初中数学 > 题目详情

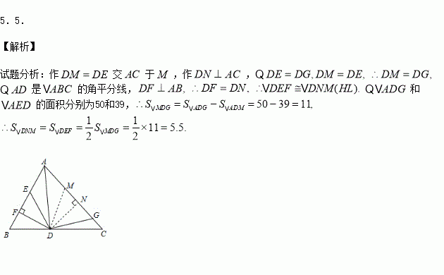
如图,AD是△ABC的角平分线,DF⊥AB,垂足为F,DE=DG,△ADG和△AED的面积分别为50和39,则△EDF的面积为

练习册系列答案
相关习题

科目:初中数学 来源:2016届江苏省常州市九年级上学期期中考试数学试卷(解析版) 题型:填空题

如图,圆锥的母线长为2,底面圆的周长为3,则该圆锥的侧面积为

查看答案和解析>>

科目:初中数学 来源:2016届广东省肇庆市端州区西区九年级上学期期末考试数学试卷(解析版) 题型:解答题

某汽车生产企业产量和效益逐年增加.据统计,2009年某种品牌汽车的年产量为6.4万辆,到2011年,该品牌汽车的年产量达到10万辆.若该品牌汽车年产量的年平均增长率从2009年开始五年内保持不变,求该品牌汽车年平均增长率和2012年的年产量.

查看答案和解析>>

科目:初中数学 来源:2016届广东省肇庆市端州区西区九年级上学期期末考试数学试卷(解析版) 题型:选择题

是一元二次方程的两个根,则的值是:

A、-10 B、10 C、-16 D、16

查看答案和解析>>

科目:初中数学 来源:2015-2016学年江苏省无锡市新区八年级上学期期末考试数学试卷(解析版) 题型:解答题

已知:如图,△ABC中,AC=BC,∠ACB=90º,D是AC上一点,AE⊥BD交BD的延长线于E,且求证:BD是∠ABC的平分线。

查看答案和解析>>

科目:初中数学 来源:2015-2016学年江苏省无锡市新区八年级上学期期末考试数学试卷(解析版) 题型:填空题

若一次函数是正比例函数.则m的值是_______,若一次函数的图像上有两个点,则m的取值范围是______.

查看答案和解析>>

科目:初中数学 来源:2015-2016学年江苏省无锡市新区八年级上学期期末考试数学试卷(解析版) 题型:选择题

等腰△ABC中,AB=AC,一边上的中线BD将这个三角形的周长分为15和12两个部分,则这个等腰三角形的底边长为( )

A.7 B.11 C.7或11 D.7或10

查看答案和解析>>

科目:初中数学 来源:2015-2016学年广东省肇庆市七年级上学期期末考试数学试卷(解析版) 题型:填空题

肇庆市常住人口是4460000人,数据4460000用科学记数法表示为

查看答案和解析>>

科目:初中数学 来源:2015-2016学年福建省仙游第二教学片区七年级上学期期末数学试卷(解析版) 题型:解答题

用正方形硬纸板做三棱柱盒子,每个盒子由3个矩形侧面和2个正三角形底面组成,硬纸板如图两种方法裁剪(裁剪后边角料不再利用)

A方法:剪6个侧面; B方法:剪4个侧面和5个底面。

现有38张硬纸板,裁剪时x张用A方法,其余用B方法。

(1)用x的代数式分别表示裁剪出的侧面和底面的个数;

(2)若裁剪出的侧面和底面恰好全部用完,问能做多少个盒子?

查看答案和解析>>

同步练习册答案