精英家教网 > 初中数学 > 题目详情

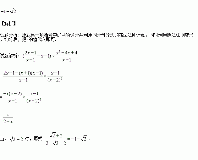
先化简,再求值:,其中x=+2.

练习册系列答案
相关习题

科目:初中数学 来源:2015-2016学年湖南省八年级下第一次月考数学试卷(解析版) 题型:填空题

在平面直角坐标系xOy中,点P在x轴上,且与原点的距离为,则点P的坐标为

查看答案和解析>>

科目:初中数学 来源:2016届江苏省泰州市九年级下学期第一次月考数学试卷(解析版) 题型:解答题

为了了解实验初中2015级学生的跳绳成绩,夏老师随机调查了该年级体育模拟考试中部分同学的跳绳成绩,并绘制成了如图所示的条形统计图和扇形统计图.请你根据图中提供的信息完成下列各题:

(1)被调查同学跳绳成绩的中位数是 ,并补全上面的条形统计图;

(2)如果我校初三年级共有学生1800人,估计跳绳成绩能得8分的学生约有 人.

查看答案和解析>>

科目:初中数学 来源:2016届江苏省泰州市九年级下学期第一次月考数学试卷(解析版) 题型:选择题

如果单项式-xa+1y3与是同类项,那么a、b的值分别为( )

A.a=2,b=3 B.a=1,b=2 C.a=1,b=3 D.a=2,b=2

查看答案和解析>>

科目:初中数学 来源:2016届江苏省泰兴市九年级下学期第一次知识质量调查数学试卷(解析版) 题型:解答题

如图,一次函数的图象与x轴、y轴分别相交于A、B两点,且与反比例函数y=(k≠0)的图象在第一象限交于点C,如果点B的坐标为(0,2),OA=OB,B是线段AC的中点.

(1)求点A的坐标及一次函数解析式.

(2)求点C的坐标及反比例函数的解析式.

查看答案和解析>>

科目:初中数学 来源:2016届江苏省泰兴市九年级下学期第一次知识质量调查数学试卷(解析版) 题型:填空题

在活动课上,小明同学刚纸板制作了一个圆锥形漏斗模型,它的底面半径OB=6cm,高OC=8cm.则这个圆锥漏斗的侧面积是 cm2.

查看答案和解析>>

科目:初中数学 来源:2016届江苏省泰兴市九年级下学期第一次知识质量调查数学试卷(解析版) 题型:选择题

如图1,在△ABC中,∠ACB=90°,∠CAB=30°, △ABD是等边三角形,E是AB的中点,连结CE并延长交AD于F,如图2,现将四边形ACBD折叠,使D与C重合,HK为折痕,则sin∠ACH的值为( )

A. B. C. D.

查看答案和解析>>

科目:初中数学 来源:2016届湖北省武汉市九年级下3月考数学试卷(解析版) 题型:填空题

一个口袋中有四个完全相同的小球,把它们分别标号为1、2、3、4,随机地摸出一个小球,然后放回,再随机地摸出一个小球,则两次摸出的小球标号的和等于4的概率是__________

查看答案和解析>>

科目:初中数学 来源:2016届内蒙古鄂尔多斯市初中毕业升学模拟数学试卷(解析版) 题型:解答题

为缓解“停车难”的问题,某单位拟建造地下停车库,建筑设计师提供了该地下停车库的设计示意图,其中,上,.按规定,地下停车库坡道口上方要张贴限高标志,以便告知停车人车辆能否安全驶入,请你根据该图计算的长,并标明限制高度.(sin18°≈0.3090,cos18°≈0.9511,tan18°≈0.3249)(精确到0.1m)

查看答案和解析>>

同步练习册答案