精英家教网 > 初中数学 > 题目详情

为增强环保意识,某社区计划开展一次“减碳环保,减少用车时间”的宣传活动,对部分家庭五月份的平均每天用车时间进行了一次抽样调查,并根据收集的数据绘制了下面两幅不完整的统计图.请根据图中提供的信息,解答下列问题:

(1)本次抽样调查了多少个家庭?

(2)将图①中的条形图补充完整,直接写出用车时间的中位数落在哪个时间段内;

(3)求用车时间在1~1.5小时的部分对应的扇形圆心角的度数;

(4)若该社区有车家庭有1600个,请你估计该社区用车时间不超过1.5小时的约有多少个家庭?

练习册系列答案
相关习题

科目:初中数学 来源:辽宁省大石桥市水源镇九年一贯制学校2016-2017学年七年级下学期期中考试数学试卷 题型:填空题

若点P(a,﹣3)与点P′(2,b)关于x轴对称,则a2+b2=

查看答案和解析>>

科目:初中数学 来源:2016-2017学年甘肃省八年级下学期期中考试数学试卷(解析版) 题型:解答题

如图,在中, ,D、E、F分别是边上的中点.求证:四边形是菱形;

查看答案和解析>>

科目:初中数学 来源:2016-2017学年甘肃省八年级下学期期中考试数学试卷(解析版) 题型:单选题

如图,□ABCD中,对角线AC、BD交于点O,点E是BC的中点.若OE=3cm,则AB的长为(  )

A. 3cm B. 6cm C. 9cm D. 12cm

查看答案和解析>>

科目:初中数学 来源:2017届辽宁省大石桥市水源镇九年一贯制学校九年级下学期期中考试数学试卷(解析版) 题型:解答题

(1)如图①,在正方形ABCD中,△AEF的顶点E,F分别在BC,CD边上,高AG与正方形的边长相等,求∠EAF的度数.

(2)如图②,在Rt△ABD中,∠BAD=90°,AB=AD,点M,N是BD边上的任意两点,且∠MAN=45°,将△ABM绕点A逆时针旋转90°至△ADH位置,连接NH,试判断MN2,ND2,DH2之间的数量关系,并说明理由.

(3)在图①中,若EG=4,GF=6,求正方形ABCD的边长.

查看答案和解析>>

科目:初中数学 来源:2017届辽宁省大石桥市水源镇九年一贯制学校九年级下学期期中考试数学试卷(解析版) 题型:填空题

如图是一几何体的三视图, 则这个几何体的全面积是 .

查看答案和解析>>

科目:初中数学 来源:2017届辽宁省大石桥市水源镇九年一贯制学校九年级下学期期中考试数学试卷(解析版) 题型:单选题

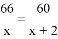
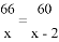
甲安装队为 A小区安装 台空调,乙安装队为 B小区安装 台空调,两队同时开工且恰好同时完工,甲队比乙队每天多安装 台,设乙队每天安装 台,根据题意,下面所列方程中正确的是

A. B. C. D.

查看答案和解析>>

科目:初中数学 来源:黑龙江省军川农场学校2016-2017学年八年级下学期期中考试数学试卷 题型:选择题

如图,AB∥CD,那么∠A,∠P,∠C的数量关系是( )

A.∠A+∠P+∠C=90°

B.∠A+∠P+∠C=180°

C.∠A+∠P+∠C=360°

D.∠P+∠C=∠A

查看答案和解析>>

科目:初中数学 来源:江苏省南通市2015-2016学年七年级下学期期中考试数学试卷 题型:单选题

如果中的解x、y相同,则m的值是( )

A. 1 B. -1 C. 2 D. -2

查看答案和解析>>

同步练习册答案