精英家教网 > 初中数学 > 题目详情

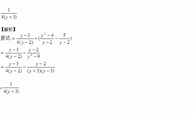
先化简,再求值: ,其中y=-2.

练习册系列答案
相关习题

科目:初中数学 来源:【全国市级联考】湖北省黄冈市2017年中考模拟试卷数学C卷 题型:解答题

已知关于x的方程.

(1)若该方程的一个根为2,求a的值及该方程的另一根.

(2)求证:不论a取何实数,该方程都有两个不相等的实数根.

查看答案和解析>>

科目:初中数学 来源:2016-2017学年辽宁省灯塔市八年级下学期期中考试数学试卷(解析版) 题型:单选题

如果不等式组无解,那么的取值范围是( ) 。

A. m >5 ; B. m≥5 ; C. m<5 ; D. m≤5

查看答案和解析>>

科目:初中数学 来源:【全国省级联考】山东省滕州市2017年学业水平考试数学 题型:单选题

某校决定从三名男生和两名女生中选出两名同学担任校艺术节文艺演出专场的主持人,则选出的恰为一男一女的概率是( )

A. B. C. D.

查看答案和解析>>

科目:初中数学 来源:湖南省祁阳县2016年中考数学模拟试卷(第三套) 题型:解答题

如图,抛物线的对称轴为轴,且经过(0,0),()两点,点P在抛物线上运动,以P为圆心的⊙P经过定点A(0,2),

(1)求的值;

(2)求证:点P在运动过程中,⊙P始终与轴相交;

(3)设⊙P与轴相交于M,N ()两点,当△AMN为等腰三角形时,求圆心P的纵坐标.

查看答案和解析>>

科目:初中数学 来源:湖南省祁阳县2016年中考数学模拟试卷(第三套) 题型:填空题

一个圆锥的母线长为5cm,底面圆半径为3 cm,则这个圆锥的侧面积是________cm2(结果保留).

查看答案和解析>>

科目:初中数学 来源:湖南省祁阳县2016年中考数学模拟试卷(第三套) 题型:单选题

若关于的一元二次方程kx2-4x+3=0有实数根,则k的非负整数值是( )

A. 1 B. 0,1 C. 1,2 D. 1,2,3

查看答案和解析>>

科目:初中数学 来源:湖北省丹江口市2017届九年级适应性考试数学试卷 题型:解答题

计算:

查看答案和解析>>

科目:初中数学 来源:江苏省南京市2016-2017学年七年级下学期期中考试数学试卷 题型:单选题

下列运算正确的是( ).

A. B. C. D.

查看答案和解析>>

同步练习册答案