精英家教网 > 初中数学 > 题目详情

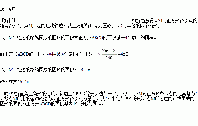
如图,正方形ABCD的边长为4,将长为4的线段QR的 两 端放在正方形的相邻的两边上同时滑动.如果点Q从点A出发,沿图中所示方向按A→B→C→D→A滑动到A止,同时点R从点B出发,沿图中所示方向按B→C→D→A→B滑动到B止,在这个过程中,线段QR的中点M所经过的路线围成的图形的面积为_____________.

练习册系列答案
相关习题

科目:初中数学 来源:2016-2017学年山东省泰安市泰山区六年级(五四制)上学期期末学情检测数学试卷(解析版) 题型:单选题

下列运算中,正确的是

A. 3a+2b=5ab B. 2a3+3a2=5a5

C. 3a2b-3ba2=0 D. 5a2-4a2=1

查看答案和解析>>

科目:初中数学 来源:2017届江苏省丹阳市九年级下学期期中考试数学试卷(解析版) 题型:解答题

一只不透明袋子中装有2个红球,1个黄球,它们除颜色外其余都相同.小丽和小亮做摸球游戏,约定游戏规则是:小丽先从袋中任意摸出1个球记下颜色后不放回,小亮再从袋中摸出1个球记下颜色,如果两人摸到的球的颜色相同则小丽赢,否则小亮赢.

(1)请用树状图或列表格法表示一次游戏中所有可能出现的结果;

(2)这个游戏规则公平吗?请说明理由.

查看答案和解析>>

科目:初中数学 来源:2017届江苏省丹阳市九年级下学期期中考试数学试卷(解析版) 题型:填空题

函数中,自变量x的取值范围是___________。

查看答案和解析>>

科目:初中数学 来源:2016-2017学年江苏省宜兴外国语学校八年级上学期期中考试数学试卷(解析版) 题型:解答题

中日钓鱼岛争端持续,我海监船加大钓鱼岛海域的巡航维权力度.如图,OA⊥OB,OA=45海里,OB=15海里,钓鱼岛位于O点,我国海监船在点B处发现有一不明国籍的渔船,自A点出发沿着AO方向匀速驶向钓鱼岛所在地点O,我国海监船立即从B处出发以相同的速度沿某直线去拦截这艘渔船,结果在点C处截住了渔船.

(1)请用直尺和圆规作出C处的位置;

(2)求我国海监船行驶的航程BC的长.

查看答案和解析>>

科目:初中数学 来源:2016-2017学年江苏省宜兴外国语学校八年级上学期期中考试数学试卷(解析版) 题型:填空题

,则a+b=

查看答案和解析>>

科目:初中数学 来源:2016-2017学年江苏省宜兴外国语学校八年级上学期期中考试数学试卷(解析版) 题型:单选题

如图,AD平分∠BAC交BC于点D,DE⊥AB于点E,DF⊥AC于点F.若S△ABC=12,DF=2,AC=3,则AB的长是( )

A. 2 B. 4 C. 7 D. 9

查看答案和解析>>

科目:初中数学 来源:2016-2017学年江苏省无锡市锡北片七年级下学期期中考试数学试卷(解析版) 题型:填空题

如图是婴儿车的平面示意图,其中AB∥CD,∠1=120°,∠3=40°,那么∠2的度数为_______.

查看答案和解析>>

科目:初中数学 来源:[首发]2016-2017学年江苏省南通市七年级下学期期中考试数学试卷(解析版) 题型:填空题

解不等式,并把它的解集在数轴上表示出来.

查看答案和解析>>

同步练习册答案