精英家教网 > 初中数学 > 题目详情

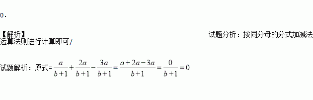
化简: =____________

练习册系列答案
相关习题

科目:初中数学 来源:2017届天津市东丽区九年级上学期期末考试数学试卷(解析版) 题型:单选题

一个盒子装有除颜色外其它均相同的2个红球和3个白球,现从中任取1个球,则取到的是一个白球的概率为(  )

A. B. C. D.

查看答案和解析>>

科目:初中数学 来源:2016-2017学年江西省(五四学制)八年级下学期第一次月考数学试卷(解析版) 题型:单选题

如图,以直角三角形a、b、c为边,向外作等边三角形,半圆,等腰直角三角形和正方形,上述四种情况的面积关系满足S1+S2=S3图形个数有(  )

A. 1 B. 2 C. 3 D. 4

查看答案和解析>>

科目:初中数学 来源:2017届湖北省武汉市第三寄宿学校中考模拟数学试卷(解析版) 题型:解答题

在平面直角坐标系中,

(1) 取点M(1,0),则点M到直线l: 的距离为_________,取直线与直线l平行,则两直线距离为_________.

(2) 已知点P为抛物线y=x2-4x的x轴上方一点,且点P到直线l: 的距离为,求点P的坐标.

(3) 若直线y=kx+m与抛物线y=x2-4x相交于x轴上方两点A、B(A在B的左边),且∠AOB=90°,求点P(2,0)到直线y=kx+m的距离的最大时直线y=kx+m的解析式.

查看答案和解析>>

科目:初中数学 来源:2017届湖北省武汉市第三寄宿学校中考模拟数学试卷(解析版) 题型:解答题

解方程:x-2(x+1)=-2

查看答案和解析>>

科目:初中数学 来源:2017届湖北省武汉市第三寄宿学校中考模拟数学试卷(解析版) 题型:单选题

主视图、左视图、俯视图分别为下列三个图形的物体是( )

A. B. C. D.

查看答案和解析>>

科目:初中数学 来源:2016-2017学年山东济南育贤中学八年级(下)期中模拟数学试卷(解析版) 题型:解答题

如图所示,在Rt△ABC中,∠B=90°,AC=60cm,∠A=60°,点D从点C出发沿CA方向以4cm/秒的速度向点A匀速运动,同时点E从点A出发沿AB方向以2cm/秒的速度向点B匀速运动,当其中一个点到达终点时,另一个点也随之停止运动.设点D、E运动的时间是t秒(0<t≤15).过点D作DF⊥BC于点F,连接DE,EF.

(1)求证:AE=DF;

(2)四边形AEFD能够成为菱形吗?如果能,求出相应的t值,如果不能,说明理由;

(3)当t为何值时,△DEF为直角三角形?请说明理由.

查看答案和解析>>

科目:初中数学 来源:2016-2017学年山东济南育贤中学八年级(下)期中模拟数学试卷(解析版) 题型:单选题

如图,直角三角形的三边长分为a、b、c,下列各式正确的是(  )

A. a2+b2=c2 B. b2+c2=a2 C. c2+a2=b2 D. 以上都不对

查看答案和解析>>

科目:初中数学 来源:2016-2017学年浙江省杭州市七年级3月学生学习能力检测数学试卷(解析版) 题型:填空题

如图所示,一条街道的两个拐角∠ABC和∠BCD,若∠ABC=150°,当街道AB和CD平行时,∠BCD=___度,根据是__.

查看答案和解析>>

同步练习册答案