精英家教网 > 初中数学 > 题目详情
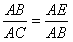
已知:如图,点是⊙O上的四个点, 交BD于点E,
(1)求证:
(2)若已知,求AB的长.
(1)证明:∵
   ∴ (同圆中,等弦所对的优弧上的圆周角相等)
  又∵
    ∴
(2)解:∵
     ∴
     而
      ∴
      ∴(线段长取正值)
练习册系列答案
相关习题

科目:初中数学 来源: 题型:

已知,如图,点是线段的黄金分割点,则下列结论中正确的是(  )

A.          B.

C.               D.

查看答案和解析>>

科目:初中数学 来源:2011-2012年天津市南开区八年级第一学期期中考试数学卷 题型:解答题

已知:如图,点上一点,是等腰三角形且底边分别为,求的度数。

查看答案和解析>>

科目:初中数学 来源:2013-2014学年初中数学湘教版九年级上册第3章练习卷(解析版) 题型:选择题

已知,如图,点是线段的黄金分割点,则下列结论中正确的是(  )

A.          B.

C.                 D.

 

查看答案和解析>>

科目:初中数学 来源:2011年江苏省扬州市邗江区九年级适应性训练数学卷 题型:选择题

已知:如图,点是正方形的对角线上的一个动点(除外),作于点,作于点,设正方形的边长为,矩形的周长为,在下列图象中,大致表示之间的函数关系的是

 

 

 

查看答案和解析>>

科目:初中数学 来源:2010-2011学年江苏省常州市武进区星辰实验学校初三第一学期期中数学卷doc 题型:选择题

已知:如图,点是正方形的对角线上的一个动点(除外),作于点,作于点,设正方形的边长为,矩形的周长为,在下列图象中,大致表示之间的函数关系的是(   )

 

查看答案和解析>>

同步练习册答案