精英家教网 > 初中数学 > 题目详情

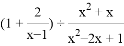
若分式的值为0,则的值等于    

练习册系列答案
相关习题

科目:初中数学 来源:2017届江苏省无锡市青阳片九年级下学期期中考试数学试卷(解析版) 题型:选择题

下列图形中,是轴对称图形但不是中心对称图形的是( )

A.等边三角形 B.平行四边形 C.矩形 D.圆

查看答案和解析>>

科目:初中数学 来源:2016-2017学年江苏省东台市第二教育联盟八年级下学期期中考试数学试卷(解析版) 题型:填空题

关于x的分式方程=﹣2解为正数,则m的取值范围是_________________.

查看答案和解析>>

科目:初中数学 来源:2017届浙江省杭州市大江东九年级第一次中考模拟考试数学试卷(解析版) 题型:解答题

如图,梯形ABCD中,AD∥BC,∠BAD=90°,CE⊥AD于点E,AD=8cm,BC=4cm,AB=5cm.从初始时刻开始,动点P,Q 分别从点A,B同时出发,运动速度均为1cm/s,动点P沿A﹣B﹣﹣C﹣﹣E的方向运动,到点E停止;动点Q沿B﹣﹣C﹣﹣E﹣﹣D的方向运动,到点D停止,设运动时间为xs,△PAQ的面积为ycm2,(这里规定:线段是面积为0的三角形)

解答下列问题:

(1)当x=2s时,y= cm2;当x=s时,y= cm2.

(2)当5≤x≤14 时,求y与x之间的函数关系式.

(3)当动点P在线段BC上运动时,求出时x的值.

(4)直接写出在整个运动过程中,使PQ与四边形ABCE的对角线平行的所有x的值.

查看答案和解析>>

科目:初中数学 来源:2017届浙江省杭州市大江东九年级第一次中考模拟考试数学试卷(解析版) 题型:解答题

如图,△ABC是定圆O的内接三角形,AD为△ABC的高线,AE平分∠BAC交⊙O于E,交BC于G,连OE交BC于F,连OA,在下列结论中, ①CE=2EF,②△ABG∽△AEC,③∠BAO=∠DAC,④为常量.其中正确的有______.

查看答案和解析>>

科目:初中数学 来源:2017届浙江省杭州市大江东九年级第一次中考模拟考试数学试卷(解析版) 题型:选择题

在社会实践活动中,某中学对甲、乙,丙、丁四个超市三月份的苹果价格进行调查.它们的价格的平均值均为3.50元,方差分别为S甲2=0.3,S乙2=0.4,S丙2=0.1,S丁2=0.25.三月份苹果价格最稳定的超市是( )

A.甲 B.乙 C.丙 D.丁

查看答案和解析>>

科目:初中数学 来源:2016-2017学年江苏省东台市第二教育联盟七年级下学期期中考试数学试卷(解析版) 题型:解答题

如图,BD是△ABC的角平分线,DE∥BC,交AB于点E,∠A=50°,∠BDC=75°.求∠BED的度数.

查看答案和解析>>

科目:初中数学 来源:2016-2017学年江苏省东台市第二教育联盟七年级下学期期中考试数学试卷(解析版) 题型:单选题

在下列条件中,①∠A+∠B=∠C; ②∠A:∠B:∠C=1:2:3; ③∠A=∠B=∠C; ④∠A=∠B=2∠C; ⑤∠A=2∠B=3∠C,能确定△ABC为直角三角形的条件有( )

A. 2个 B. 3个 C. 4个 D. 5个

查看答案和解析>>

科目:初中数学 来源:2017届上海市毕业生学业模拟考试数学试卷(解析版) 题型:解答题

先化简,再求值:,其中.

查看答案和解析>>

同步练习册答案