精英家教网 > 初中数学 > 题目详情

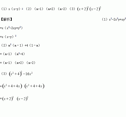
因式分解

(1)x3—2x2y+xy2

(2)m2(m﹣1)+4(1﹣m)

(3)

练习册系列答案
相关习题

科目:初中数学 来源:【全国区级联考】湖北省襄阳市襄州区2017年中考适应性考试数学试卷 题型:填空题

已知x﹣2y=3,那么代数式3+2x-4y的值是________.

查看答案和解析>>

科目:初中数学 来源:湖北省黄石大冶市还地桥镇2017届九年级5月中考模拟数学试卷 题型:解答题

随着绿城南宁近几年城市建设的快速发展,对花木的需求量逐年提高.某园林专业户计划投资种植花卉及树木,根据市场调查与预测,种植树木的利润与投资量成正比例关系,如图(1)所示;种植花卉的利润与投资量成二次函数关系,如图(2)所示(注:利润与投资量的单位:万元)

(1)分别求出利润关于投资量的函数关系式;

(2)如果这位专业户以8万元资金投入种植花卉和树木,他至少获得多少利润?他能获取的最大利润是多少?

查看答案和解析>>

科目:初中数学 来源:湖北省黄石大冶市还地桥镇2017届九年级5月中考模拟数学试卷 题型:单选题

下列命题是真命题的是(  )

A. 必然事件发生的概率等于0.5

B. 5名同学的数学成绩是92,95,95,98,110,则他们的平均分是98,众数是95

C. 射击运动员甲、乙分别射击10次且击中环数的方差分别是5和18,则乙较甲稳定

D. 要了解金牌获得者的兴奋剂使用情况,可采用抽样调查的方法

查看答案和解析>>

科目:初中数学 来源:江苏省2016-2017学年初一下学期期中考试数学试卷 题型:解答题

(1)设a-b=4,a2+b2=10,求(a+b)2的值;

(2)观察下列式子:1×3+1=4,2×4+1=9,3×5+1=16,4×6+1=25,…,

探索以上式子的规律,试写出第n个等式,并说明第n个等式成立.

查看答案和解析>>

科目:初中数学 来源:江苏省2016-2017学年初一下学期期中考试数学试卷 题型:填空题

如图,已知∠1=60°,∠C+∠D+∠E+∠F+∠A+∠B=_______。

查看答案和解析>>

科目:初中数学 来源:江苏省2016-2017学年初一下学期期中考试数学试卷 题型:选择题

如图,设正方体ABCD-A1B1C1D1的棱长为1,黑、白两个甲壳虫同时从点A出发,以相同的速度分别沿棱向前爬行,黑甲壳虫爬行的路线是AA1→A1D1→……,白甲壳虫爬行的路线是AB→BB1→……,并且都遵循如下规则:所爬行的第n+2与第n条棱所在的直线必须是既不平行也不相交(其中n是正整数).那么当黑、白两个甲壳虫各爬行完第2015条棱分别停止在所到的正方体顶点处时,它们之间的距离是( ).

A.0 B.1 C. D.

查看答案和解析>>

科目:初中数学 来源:【全国区级联考】广东省汕头市龙湖区2017届九年级5月模拟考试数学试卷 题型:解答题

先化简,后求值: ,其中= -3.1

查看答案和解析>>

科目:初中数学 来源:【全国区级联考】广东省汕头市濠江区2017届九年级5月中考模拟数学试卷 题型:单选题

互联网信息丰富了人类生活的新空间. 据统计,目前我国约有670 000 000网民,将670 000 000用科学记数法表示为(   )

A. 6.7×109 B. 6.7×108 C. 6.7×107 D. 0.67×108

查看答案和解析>>

同步练习册答案