精英家教网 > 初中数学 > 题目详情

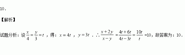
,则= .

练习册系列答案
相关习题

科目:初中数学 来源:2015-2016学年安徽省蚌埠新城教育集团八年级上学期期中数学试卷(解析版) 题型:选择题

下列四个图形中,线段BE是△ABC的高的是( )

A. B. C. D.

查看答案和解析>>

科目:初中数学 来源:2016届江苏省泰兴市九年级上学期期中考试数学试卷(解析版) 题型:填空题

如图,E,G,F,H分别是矩形ABCD四条边上的点,EF⊥GH,若AB=2,BC=3,则EF︰GH= .

查看答案和解析>>

科目:初中数学 来源:2016届湖南省邵阳县黄亭市九年级上学期期中考试数学试卷(解析版) 题型:解答题

如图∠1=∠2,∠C=∠D,求证:AB•AD=AC•AE.

查看答案和解析>>

科目:初中数学 来源:2016届湖南省邵阳县黄亭市九年级上学期期中考试数学试卷(解析版) 题型:填空题

设A是函数图象上一点,过A点作AB⊥x轴,垂足是B,如图,则S△AOB= .

查看答案和解析>>

科目:初中数学 来源:2016届湖南省邵阳县黄亭市九年级上学期期中考试数学试卷(解析版) 题型:选择题

如图,线段AB两个端点的坐标分别是A(6,4),B(8,2),以原点O为位似中心,在第一象限内将线段AB缩小为原来的后得到线段CD,则端点C的坐标为( )

A.(3,2) B.(4,1) C.(3,1) D.(4,2)

查看答案和解析>>

科目:初中数学 来源:2016届湖南省邵阳县黄亭市九年级上学期期中考试数学试卷(解析版) 题型:选择题

使分式的值等于零的x是( )

A.6 B.﹣1或6 C.﹣1 D.﹣6

查看答案和解析>>

科目:初中数学 来源:2014-2015学年广东省九年级下学期第二次模拟考试数学试卷(解析版) 题型:选择题

下列运算正确的是( ).

A. B.

C. D.

查看答案和解析>>

科目:初中数学 来源:2015-2016学年重庆市八年级上学期期中考试数学试卷(解析版) 题型:选择题

下列已知条件,能画出唯一△ABC的是( )

A.AB=3,BC=4,AC=8

B.AB=4,BC=3,∠A=300;

C.∠A=600,∠B=450,AB=4

D.∠C=900,AB=6

查看答案和解析>>

同步练习册答案