精英家教网 > 初中数学 > 题目详情

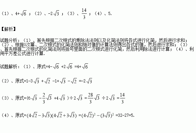
计算(1)

(2)

(3)

(4)

练习册系列答案
相关习题

科目:初中数学 来源:2015-2016学年北大附中河南分校八年级3月月考数学试卷(解析版) 题型:计算题

计算: (1)、

(2)、

(3)、

(4)、

查看答案和解析>>

科目:初中数学 来源:2015-2016学年安徽省七年级3月月考数学试卷(解析版) 题型:选择题

若一个有理数的平方根与立方根是相等的,则这个有理数一定是( )

A.0 B.1 C.0 或 1 D.0 和±1

查看答案和解析>>

科目:初中数学 来源:2015-2016学年安徽省宁国市D片七年级期中联考数学试卷(解析版) 题型:选择题

若不等式组有解,那么的取值范围是( )

A. B. C. D.

查看答案和解析>>

科目:初中数学 来源:2015-2016学年安徽省宁国市D片七年级期中联考数学试卷(解析版) 题型:选择题

下列各数中无理数有( )

A.2个 B.3 个 C. 4个 D.5个

查看答案和解析>>

科目:初中数学 来源:2015-2016学年安徽省八年级下第一次月考数学卷(解析版) 题型:填空题

当k= 时,关于x的方程有一个根为0.

查看答案和解析>>

科目:初中数学 来源:2015-2016学年安徽省八年级下第一次月考数学卷(解析版) 题型:选择题

实数a在数轴上的位置如图所示,则 化简后为( )

A. 7 B. -7 C. D.无法确定

查看答案和解析>>

科目:初中数学 来源:2016届山东省九年级下学期阶段检测数学试卷(解析版) 题型:填空题

如图,把△ABC绕点C按顺时针方向旋转35°,得到△A′B′C,A′B′交AC于点D.若∠A′DC=90°,则∠A=_______ .

查看答案和解析>>

科目:初中数学 来源:2015-2016学年山东省七年级下第一次月考数学试卷(解析版) 题型:解答题

已知:如图AB∥CD,EF交AB于G,交CD于F,FH平分∠EFD,交AB于H,∠AGE=500,求:∠BHF的度数.

查看答案和解析>>

同步练习册答案