精英家教网 > 初中数学 > 题目详情

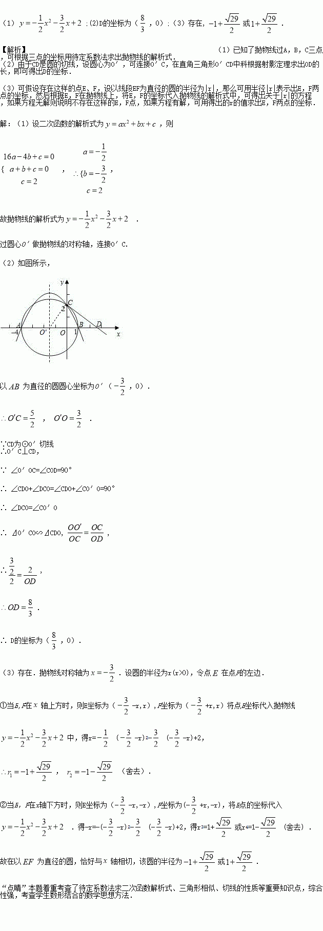
在平面直角坐标系中,已知两点A(-4,0)、B(1,0),且以AB为直径的圆交轴的正半轴于点C(0,2),过点C作圆的切线交x轴于点D.

(1)求过A, B,C三点的抛物线解析式;

(2)求点D的坐标;

(3)设平行于x轴的直线交抛物线于E,F两点,问是否存在以线段EF为直径的圆,恰好与x轴相切?若存在,求出该圆的半径,若不存在,请说明理由.

练习册系列答案
相关习题

科目:初中数学 来源:福建省仙游县郊尾、枫亭五校教研小片区2016-2017学年七年级下学期期中考试数学试卷 题型:解答题

已知关于的二元一次方程组的解满足之和为2,求a的值.

查看答案和解析>>

科目:初中数学 来源:浙江省杭州市拱墅区、滨江区、下城区2017年中考一模数学试卷及答案(word版) 题型:单选题

下列计算正确的是( )

A. x4 +x2 =x6 B. (a +b)2 =a2 +b2

C. (3x2 y)2 =6x4 y 2 D. (-m)7 ÷(-m)2 =-m5

查看答案和解析>>

科目:初中数学 来源:[中学联盟]江苏省无锡市前洲中学2016-2017学年八年级5月月考数学试卷 题型:填空题

若关于x的分式方程=有增根,则增根为__.

查看答案和解析>>

科目:初中数学 来源:[中学联盟]江苏省无锡市前洲中学2016-2017学年八年级5月月考数学试卷 题型:单选题

下列根式中,与 是同类二次根式的是(  )

A. B. C. D.

查看答案和解析>>

科目:初中数学 来源:[首发]山东省2017届九年级学业水平模拟测试数学试卷 题型:解答题

先化简,再求值: ,其中x=﹣2+

查看答案和解析>>

科目:初中数学 来源:[首发]山东省2017届九年级学业水平模拟测试数学试卷 题型:选择题

在Rt△ABC中,∠C=90°,AB=5,内切圆半径为1,则三角形的周长为( ) A. 15 B. 12 C. 13 D. 14

查看答案和解析>>

科目:初中数学 来源:福建省龙岩市2017年九年级学业(升学)质量检查数学试卷(word版) 题型:解答题

如图,在直角坐标系中,四边形是矩形,点中点,反比例函数的图象经过点,并交于点

(1)求的值;

(2)求五边形的面积

查看答案和解析>>

科目:初中数学 来源:江苏省2017年中考二模数学试卷 题型:单选题

如图,直线l1∥l2,以直线l1上的点A为圆心、适当长为半径画弧,分别交直线l1、l2于点B、C,连接AC、BC.若∠ABC=67°,则∠1=(  )

A. 23° B. 46° C. 67° D. 78°

查看答案和解析>>

同步练习册答案