精英家教网 > 初中数学 > 题目详情

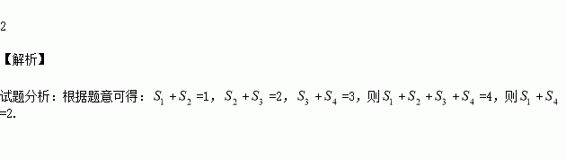
在直线l上依次摆放着七个正方形(如图).已知斜放置的三个正方形的面积分别是1,2,3,正放置的四个正方形的面积依次是S1,S2,S3,S4,则S1+S4=

练习册系列答案
相关习题

科目:初中数学 来源:2016-2017学年四川自贡富顺三中七年级上期中考试数学试卷(解析版) 题型:填空题

把下面的有理数填入它属于的集合内(将各数用逗号分开)

3.14, 0, -2, 80, -2.1, , -130,

负数集合{ …};

整数集合{ …};

查看答案和解析>>

科目:初中数学 来源:2016-2017学年浙江杭州萧山区临浦片七年级上期中考试数学卷(解析版) 题型:解答题

下面是A市与B市出租车收费标准,A市为:行程不超过3千米收起步价10元,超过3千米后超过部分每千米收1.2元;B市为:行程不超过3千米收起步价8元,超过3千米后超过部分每千米收1.5元。

(1)填空:在A市,某人乘坐出租车2千米,需车费 ____ 元;

(2)试求在A市与在B市乘坐出租车x(x>3,x为整数)千米的车费分别为多少元?

(3)计算在A市与在B市乘坐出租车5千米的车费的差。

查看答案和解析>>

科目:初中数学 来源:2016-2017学年浙江杭州萧山区临浦片七年级上期中考试数学卷(解析版) 题型:单选题

下列比较大小正确的是 ( )

A. B.

C. D.

查看答案和解析>>

科目:初中数学 来源:2016-2017学年浙江桐乡现代片四校八年级上期中考试数学卷(解析版) 题型:计算题

如图,△ABC中,AB=AC,∠A=36°,AC的垂直平分线交AB于E,D为垂足,连结EC.

(1)求∠ECD的度数;

(2)若CE=12,求BC长.

查看答案和解析>>

科目:初中数学 来源:2016-2017学年浙江桐乡现代片四校八年级上期中考试数学卷(解析版) 题型:填空题

若等腰三角形的一个角为80°,则顶角为

查看答案和解析>>

科目:初中数学 来源:2016-2017学年浙江桐乡现代片四校八年级上期中考试数学卷(解析版) 题型:选择题

一个直角三角形的两直角边长分别为3和4,那么它斜边上的高线长为( )

A、5 B、2.5 C、2.4 D、2

查看答案和解析>>

科目:初中数学 来源:2016-2017学年四川省八年级上期中数学试卷(解析版) 题型:填空题

一个多边形的每一个外角都等于36°,则该多边形的内角和等于 度.

查看答案和解析>>

科目:初中数学 来源:2016-2017学年山东省泰安市八年级上期中数学试卷(解析版) 题型:选择题

无论x取什么数时,总是有意义的分式是( ).

A. B. C. D.

查看答案和解析>>

同步练习册答案