精英家教网 > 初中数学 > 题目详情
下表给出了代数式x2+bx+c与x的一些对应值:
(1)根据表格中的数据,确定b、c的值,并填齐表格中空白处的对应值;
(2)代数式x2+bx+c是否有最小值?如果有,求出最小值;如果没有,请说明理由;
(3)设y=x2 + bx + c的图象与x轴的交点为A、B两点(A点在B点左侧),与y轴交于点C,P点为线段AB上一动点,过P点作PE∥AC交BC于E,连结PC,当△PEC的面积最大时,求P点的坐标。

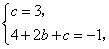
解:(1)由题意知:    解得
               
        (2)∵
               ∴ 有最小值,最小值为-1。
      (3)由(1)可知,点A、B的坐标分别为(1,0),(3,0)。
                设点P的坐标为(x,0), 过点E作EM⊥x轴于点M,
                ∵ PE∥AC,
                ∴ △EPB∽△CAB
                 ∵ EM、CO分别为△EPB与△CAB边上的高, 
                 ∴
                  ∵ CO=3,AB=2,PB= 3-x,
                 ∴
                ∴ S△PEC=S△PBC-S△PBE
                                                       
                                                       
               ∴ 当x=2时,S有最大值
               ∴ 当点P的坐标为(2,0)时,△PEC的面积最大。

练习册系列答案
相关习题

科目:初中数学 来源: 题型:

下表给出了代数式x2+bx+c与x的一些对应值:
     x  …  0  1  2
 x2+bx+c  …  3   -1    3
(1)请在表内的空格中填入适当的数;
(2)设y=x2+bx+c,则当x取何值时,y>0;
(3)请说明经过怎样平移函数y=x2+bx+c的图象得到函数y=x2的图象?

查看答案和解析>>

科目:初中数学 来源: 题型:

下表给出了代数式x2+bx+c与x的一些对应值:
x -1 0 1 2 3 4
x2+bx+c 3 -1 3
(1)根据表格中的数据,确定b、c的值,并填齐表格空白处的对应值;
(2)设y=x2+bx+c的图象与x轴的交点为A、B两点(A点在B点左侧),与y轴交于点C,P为线段AB上一动点,过P点作PE∥AC交BC于E,连接PC,当△PEC的面积最大时,求P点的坐标.
精英家教网

查看答案和解析>>

科目:初中数学 来源: 题型:

20、下表给出了代数式x2+bx+c与x的一些对应值:
x 0 1 2 3 4
x2+bx+c 3 -1 3
(1)求b,c的值;
(2)设y=x2+bx+c,当x取何值时,y随x的增大而增大?
(3)函数y=x2+bx+c的图象经过怎样平移可得到函数y=x2的图象?

查看答案和解析>>

科目:初中数学 来源: 题型:

下表给出了代数式x2+bx+c与x的一些对应值:
x -1 0 1 2 3 4
X2+bx+c   3   -1   3
(1)根据表格中的数据,确定b、c的值,并填齐表格中空白处的对应值;
(2)代数式x2+bx+c是否有最小值?如果有,求出最小值;如果没有,请说明理由;
(3)设y=x2+bx+c的图象与x轴的交点为A、B两点(A点在B点左侧),与y轴交于点C,P点为线段AB上一动点,过P点作PE∥AC交BC于E,连接PC,当△PEC的面积最大时,求P点的坐标.

查看答案和解析>>

科目:初中数学 来源: 题型:

下表给出了代数式x2+bx+c与x的一些对应值:
x 0 1 2 3 4
x2+bx+c 3 -1 3
函数y=x2的图象可以通过平移得到函数y=x2+bx+c的图象.请写出一种正确的平移
 

查看答案和解析>>

同步练习册答案