精英家教网 > 初中物理 > 题目详情
某兴趣小组的同学进行电学实验过程中发现一个有趣的元件,由于A、B两部分被封闭在一个透明的玻璃壳内,a、b是其两个外露的接线柱(如图甲).他们了解到B是一个定值电阻,其电压与电流关系如表所示:A是一种由特殊金属丝制成的导体,它的额定电压是6V.为进一步了解A的某些特征,他们将元件的ab两端接在图乙的a′b′两点,测得了多组元件的电压与电流值,并绘制成如图丙的曲线.请根据上述信息回答:
电压U(V)2.04.06.0
电流I(A)0.100.200.30

(1)计算电阻B的阻值.
(2)计算导体A的额定功率.
(3)调节滑动变阻器,使电压表示数为4V,计算10S内导体A产生的热量和导体B的实际功率.
【答案】分析:(1)由欧姆定律可求得B电阻的阻值;
(2)因A的额定电压为6V,故我们可以在图中找出电压为6V时的电流,由欧姆定律可求得B中电流,由并联电路的特点可求得A中的电流,即可由功率公式求得额定功率;
(3)由图象读出电压为4V时的电流,由欧姆定律可求得B中电流,再由并联电路的特点可求得A中的电流,则由电功公式可求得A中的热量及B的实际功率.
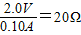
解答:解:(1)由欧姆定律得:RB==
(2)由图可知:U=6V,I=0.46A,
IB===0.3A,
IA=I-IB=0.46A-0.3A=0.16A,
P额A=U?IA=6V×0.16A=0.96W;
(3)由表格和图可知:U=4V时:
I'=0.38AIB'=0.2A,
IA'=I'-IB'=0.38A-0.2A=0.18A,
QA=(IA')2RAt=UA?IA't=4V×0.18A×10s=7.2J,
PB===0.8W;
答:(1)B的阻值为20Ω;(2)A的额定功率为0.96W;(3)A消耗的热量为7.2J,B的功率为0.8W.
点评:本题中由于不知道A是一种什么元件,故不能直接利用欧姆定律求解其电阻.
练习册系列答案
相关习题

科目:初中物理 来源: 题型:

精英家教网某兴趣小组的同学进行电学实验过程中发现一个有趣的元件,有A、B两部分,被封闭在一个透明的玻璃壳内,a、b是其两个外露的接线柱(如图甲).他们了解到B是一个定值电阻,其电压与电流关系如表所示:
电压U(V) 2.0 4.0 6.0
电流I(A) 0.10 0.20 0.30
A是一种由特殊金属丝制成的导体,它的正常工作电压是9伏.为进一步了解A的某些特征,他们使用如图乙的实验器材,测得了一组元件的电压与电流值,并绘制成如图丙的曲线.
精英家教网
请根据上述信息回答:
(1)用笔线代替导线将图乙的电路连接完整.
(2)计算电阻B的电阻.
(3)计算导体A正常工作时的电阻.

查看答案和解析>>

科目:初中物理 来源: 题型:

某兴趣小组的同学进行电学实验过程中发现一个有趣的元件,由于A、B两部分被封闭在一个透明的玻璃壳内,a、b是其两个外露的接线柱(如图甲).他们了解到B是一个定值电阻,其电压与电流关系如表所示:A是一种由特殊金属丝制成的导体,它的额定电压是6V.为进一步了解A的某些特征,他们将元件的ab两端接在图乙的a′b′两点,测得了多组元件的电压与电流值,并绘制成如图丙的曲线.请根据上述信息回答:
电压U(V) 2.0 4.0 6.0
电流I(A) 0.10 0.20 0.30
精英家教网
(1)计算电阻B的阻值.
(2)计算导体A的额定功率.
(3)调节滑动变阻器,使电压表示数为4V,计算10S内导体A产生的热量和导体B的实际功率.

查看答案和解析>>

科目:初中物理 来源: 题型:

某兴趣小组的同学进行电学实验过程中发现一个有趣的元件有a、b两部分,被封闭在一个透明的玻璃壳内,A、B、C是三个外露的接线柱,如图所示.
(1)他们了解到a是一个定值电阻,要用“伏安法”研究其电流与电压的关系,请用笔画线代替导线将图1的电路连接成所需的电路.
(2)根据实验测得的数据,在U-I图中描绘出电压和电流的关系如图2所示,则电阻Ra=
10
10
Ω.
(3)b是一种由特殊金属制成的导体,它的额定电压是4.5V,为进一步了解b的特征,他们使用相似的步骤,描绘出了该元件的电压与电流关系的图象如图3所示.由图可知原件b的电阻随电压的增大而
增大
增大
,其额定功率约为
1.8
1.8
W.

查看答案和解析>>

科目:初中物理 来源: 题型:

某兴趣小组的同学进行电学实验过程中发现一个有趣的元件,有A、B两部分,被封闭在一个透明的玻璃壳内,a、b是其两个外露的接线柱,如图所示.他们了解到B是一个定值电阻,其电压与电流关系如下表所示,
电压U(V) 2.0 4.0 6.0
电流I (A) 0.10 0.20 0.30
A是一种由特殊金属丝制成的导体,它的额定电压是9V.为进一步了解A的某些特征,他们使用如图乙所示的实验器材,测得了一组该元件的电压与电流值,并绘制成如图所示的曲线.请根据上述信息完成下列问题:
(1)用笔画线代替导线将图乙的电路连接完整.
(2)计算电阻B的阻值.
(3)计算导体A的额定功率.

查看答案和解析>>

科目:初中物理 来源:2012届湖北省黄冈市中考压轴物理试卷(带解析) 题型:实验题

某兴趣小组的同学进行电学实验过程中发现一个有趣的元件有a、b两部分,被封闭在一个透明的玻璃壳内,A、B、C是三个外露的接线柱,如图所示。

(1)他们了解到a是一个定值电阻,要用“伏安法”研究其电流与电压的关系,请用笔
画线代替导线将左图的电路连接成所需的电路。                
(2)根据实验测得的数据,在U-I图中描绘出电压和电流的关系如图(中)所示,则电阻R1=    Ω。
(3)b是一种由特殊金属制成的导体,它的额定电压是4.5V,为进一步了解b的特征,他们使用相似的步骤,描绘出了该元件的电压与电流关系的图像如图(右)所示。由图可知原件b的电阻随电压的增大而       ,其额定功率约为      W。

查看答案和解析>>

同步练习册答案