精英家教网 > 初中物理 > 题目详情
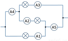
如图,已知电流表A1、A2、A3示数分别为0.1A、0.2A、0.3A,求电流表A4、A5的示数.

【答案】分析:由图可知三电阻为并联关系,A4测量流过A2、A3的电流;A5测量流过A1、A2的电流,则由并联电路的电流规律可得出两电流表的示数.
解答:已知:I1=0.1A,I2=0.2A,I3=0.3A;
求:I4、I5
解:设电流由左侧流入,则分为两支,一支流入灯泡和A1,另一支流入A4;然后再分两支流:一是流入第二个灯泡和A2,另一支流入第三个灯泡和A3;A1及A2中的电流混合后流入A5;故三个灯泡为并联;如图所示:

A4测量流过A2、A3的电流;A5测量流过A1、A2的电流,
根据并联电路的电流特点得:
电流表A4示数I4=I2+I3=0.2A+0.3A=0.5A;
电流表A5示数I5=I1+I2=0.1A+0.2A=0.3A.
答:电流表A4、A5的示数分别为0.5A、0.3A.
点评:本题重点在于明确电路的性质,同时能准确找到各电表所测量的对象,则利用并联电路的电流规律可得出正确结果.
练习册系列答案
相关习题

科目:初中物理 来源: 题型:

(2002?长沙)如图,已知电流表A1的读数为0.2安,电流表A的读数为0.3安,则通过灯L2的电流为
0.1
0.1
安,1分钟内通过灯L1灯丝的电量为
12
12
库,如果灯L2短路,电流表
A
A
将可能会烧坏.

查看答案和解析>>

科目:初中物理 来源: 题型:

如图,已知电流表A1的读数为0.2A,电流表A的读数为0.3A,
(1)通过灯L1的电流为多少A?
(2)通过灯L2的电流为多少A?

查看答案和解析>>

科目:初中物理 来源: 题型:

如图,已知电流表A1、A2、A3示数分别为0.1A、0.2A、0.3A,求电流表A4、A5的示数.

查看答案和解析>>

科目:初中物理 来源: 题型:

如图,已知电流表A1的示数为0.4A,图中显示的是电流表A3的示数,那么电流表接A3的是
0~3A
0~3A
的量程,示数为
1.3
1.3
A.而A2的示数应为
0.9
0.9
A.

查看答案和解析>>

科目:初中物理 来源: 题型:

如图,已知电流表A1的读数为0.2A,电流表A的读数为0.3A,
(1)通过灯L1的电流为多少A?
(2)电路中的总电流多少A?
(3)通过灯L2的电流为多少A?

查看答案和解析>>

同步练习册答案