精英家教网 > 初中物理 > 题目详情
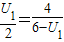
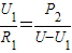
如图,电源电压为6V,电阻R1=2Ω,R2的功率为4W.求R2的值.(R1>R2

【答案】分析:根据串联电路的特点,串联电路的电流处处相等,所以电压跟电阻成正比.
解答:解:设R1两端电压为U1
根据串联电路的特点I1=I2

代数得:
解得:U1=4V或U1=2V,因为R1>R2
所以U1=4V,在串联电路中U=U1+U2=6V,U2=2V
在串联电路中,利用电压跟电阻成正比得:R2=1Ω.
点评:对于这类题目要根据串联电路的特点,利用欧姆定律和电功率进行计算.
练习册系列答案
相关习题

科目:初中物理 来源: 题型:

如图,电源电压为6V,当开关S闭合后,只有一只灯泡发光,且电压表的示数为6V,产生这一现象的原因可能是
L2短路
L2短路

查看答案和解析>>

科目:初中物理 来源: 题型:

如图,电源电压为6V保持不变,闭合开关K,滑动变阻器滑片P由b向a滑动时,通过R2的电流如何变化(  )

查看答案和解析>>

科目:初中物理 来源: 题型:

如图,电源电压为6V,电阻R1=2Ω,R2的功率为4W.求R2的值.(R1>R2

查看答案和解析>>

科目:初中物理 来源: 题型:

如图,电源电压为6V不变,灯L1的电阻为12Ω,灯L2的电阻为9Ω,灯L3的电阻为18Ω
求:(1)开关S1、S2都断开时,电压表的示数为多少?
(2)开关S1、S2都闭合时,电流表的示数为多少?

查看答案和解析>>

科目:初中物理 来源: 题型:

如图,电源电压为6V,小灯泡的电阻为10Ω,a和b是提供测量电压或电流的电表.则a表的示数为
0.6A
0.6A
,b表的示数为
6V
6V

查看答案和解析>>

同步练习册答案