精英家教网 > 初中物理 > 题目详情
申龙同学在“探究牛奶和蓖麻油的沸点及比热容”时,选择等质量的牛奶和蓖麻油,用同样的火力分别加热初温相同的牛奶和蓖麻油,加热到3min时牛奶沸腾,此时牛奶的温度为87℃,但蓖麻油还未沸腾,此时蓖麻油的温度为105℃.(酒精的沸点为78℃)
(1)测蓖麻油沸腾时的温度,要使用______ (选填“酒精”或“红外线”)温度计.
(2)从上面实验中,你能得到什么结论?
(3)现有器材:量程合适的温度计、功率为P的电磁炉、电磁炉的配套铁锅、火柴、酒精灯(酒精的热值为q)、秒表、天平、量筒、烧杯、铁架台、石棉网、家庭电源.
申龙想知道蓖麻油的比热容,需要选择哪些实验器材?简要写出实验过程及表达式,并分析引起实验误差的主要原因.

【答案】分析:(1)根据蓖麻油的温度为105℃时还没沸腾确定蓖麻油的沸点,然后根据酒精的沸点选择温度计;
(2)根据Q=cm△t进行分析比较比热容的大小;沸腾时的温度叫沸点,根据加热相同时间后是否沸腾可知沸点的高低;
(3)根据Q=cm△t分析可知,要求比热容的大小,需要知道蓖麻油吸收的热量、质量和温度的变化,据此分析所需器材、设计实验过程;本次实验的误差重点是热量计算不准确,可以从燃料燃烧、热散失等方面分析.
解答:解:(1)因为蓖麻油的沸点高于105℃大于酒精的沸点,因此测量蓖麻油沸腾时的温度需要用红外线温度计;
(2)因为用同样的火力分别加热初温相同的牛奶和蓖麻油,加热到3min时,牛奶的温度为87℃,蓖麻油的温度为105℃,即蓖麻油的温度变化较大,故蓖麻油的比热容小,牛奶的比热容大;
牛奶沸腾时的温度为87℃,即牛奶的沸点为87℃,蓖麻油的温度为105℃还没有沸腾,说明蓖麻油的沸点高于105℃,故蓖麻油的沸点高于牛奶的沸点.
(3)测量质量可以利用天平,测量温度的变化可以用温度计,可以根据Q=mq得出吸收的热量,因此选择酒精做燃料;
故实验所需的器材有,铁架台、石棉网、烧杯、火柴、酒精灯(酒精的热值为q)、量程合适的温度计、天平;
实验过程:铁架台、酒精灯、石棉网、烧杯、量程合适的温度计等按次序安装在铁架台上;
用天平取一定量m的蓖麻油,注入烧杯;
温度计玻璃泡置于蓖麻油的中间,记录油程度初始温度t1
用天平测出酒精灯质量m1;点燃酒精灯,当温度计示数上升t2时,熄灭酒精灯;并用天平测酒精灯质量m2
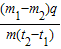
比热容的表达式:c=
误差的原因:有热损失,酒精灯放出的热,不能被油完全吸收,使吸热Q计算不准(偏高).
点评:考查了吸热公式Q=cm△t的应用,实验采用了控制变量法,本实验的难点是设计实验,设计实验的要点是根据公式分析出需要测量的物理量.
练习册系列答案
相关习题

科目:初中物理 来源: 题型:

(2012?佛山)申龙同学在“探究牛奶和蓖麻油的沸点及比热容”时,选择等质量的牛奶和蓖麻油,用同样的火力分别加热初温相同的牛奶和蓖麻油,加热到3min时牛奶沸腾,此时牛奶的温度为87℃,但蓖麻油还未沸腾,此时蓖麻油的温度为105℃.(酒精的沸点为78℃)
(1)测蓖麻油沸腾时的温度,要使用
红外线
红外线
 (选填“酒精”或“红外线”)温度计.
(2)从上面实验中,你能得到什么结论?
(3)现有器材:量程合适的温度计、功率为P的电磁炉、电磁炉的配套铁锅、火柴、酒精灯(酒精的热值为q)、秒表、天平、量筒、烧杯、铁架台、石棉网、家庭电源.
申龙想知道蓖麻油的比热容,需要选择哪些实验器材?简要写出实验过程及表达式,并分析引起实验误差的主要原因.

查看答案和解析>>

科目:初中物理 来源: 题型:解答题

申龙同学在“探究牛奶和蓖麻油的沸点及比热容”时,选择等质量的牛奶和蓖麻油,用同样的火力分别加热初温相同的牛奶和蓖麻油,加热到3min时牛奶沸腾,此时牛奶的温度为87℃,但蓖麻油还未沸腾,此时蓖麻油的温度为105℃.(酒精的沸点为78℃)
(1)测蓖麻油沸腾时的温度,要使用________ (选填“酒精”或“红外线”)温度计.
(2)从上面实验中,你能得到什么结论?
(3)现有器材:量程合适的温度计、功率为P的电磁炉、电磁炉的配套铁锅、火柴、酒精灯(酒精的热值为q)、秒表、天平、量筒、烧杯、铁架台、石棉网、家庭电源.
申龙想知道蓖麻油的比热容,需要选择哪些实验器材?简要写出实验过程及表达式,并分析引起实验误差的主要原因.

查看答案和解析>>

科目:初中物理 来源: 题型:

申龙同学在“探究牛奶和蓖麻油的沸点及比热容”时,选择等质量的牛奶和蓖麻油,用同样的火力分别加热初温相同的牛奶和蓖麻油,加热到3min时牛奶沸腾,此时牛奶的温度为87℃,但蓖麻油还未沸腾,此时蓖麻油的温度为105℃。(酒精的沸点为78℃)

(1)测蓖麻油沸腾时的温度,要使用_________ (选填“酒精” 或 “红外线”)温度计。

(2)从上面实验中,你能得到什么结论?

(3)现有器材:量程合适的温度计、火柴、酒精灯(酒精的热值为q)、秒表、天平、烧杯、铁架台、石棉网。申龙想知道蓖麻油的比热容,简要写出实验过程及表达式,并分析引起实验误差的主要原因。

查看答案和解析>>

同步练习册答案