精英家教网 > 初中物理 > 题目详情
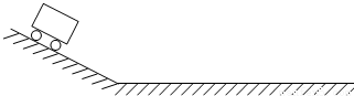
探究“阻力对物体运动的影响”的实验装置如图所示.

(1)实验时,每次必须使小车从斜面的同一高度滑下,这样做的目的是______;
(2)下表是一组同学记录的实验数据,分析表中内容可知:水平面越光滑,小车受到的阻力越______,小车前进的距离就越______;
接触面毛巾棉布木板
阻力的大小较大较小
小车移动的距离s/cm18.322.626.7
(3)小丽同学通过上面的探究学习,思考了一个问题:当自己荡秋千运动到右侧最高点时,如果自己受到的力全部消失,自己将会处于怎样的运动状态呢?她做出了以下猜想,你认为其中准确的是______.(图中的黑点表示小丽同学)

【答案】分析:(1)根据机械能的转化可知:小车从斜面上滑下时,重力势能转化为动能,当小车从斜面的同一高度由静止开始滑下时,其重力势能相等,到达水平面时的动能相等,速度相同.(2)分别比较表格中小车在毛巾、棉布、木板表面所滑行的距离,可得出阻力大小对小车前进距离的影响.
(3)首先要明确,当秋千在最高点时的运动状态,再根据前面实验中的研究结论,当物体不受外力时,将保持外力消失一瞬间时的状态.
解答:解:(1)让小车每次从斜面的同一高度由静止开始滑下,这样做是为了使小车到达水平面时的机械能相同,速度相同;
故答案为:让小车具有相同的初速度.
(2)毛巾、棉布、木板依次越来越光滑,阻力也越来越小,从小车前进的距离来看,阻力越小,小车运动的距离越远;
故答案为:小;远.
(3)当秋千运动到最高点时,人和秋千在这一瞬间是静止的,所以当此时外力全部消失时,人和秋千都会保持静止的状态不再改变,故只有选项A符合题意.
故答案为:A.
点评:通过对表中实验结果的分析可得出阻力对小车运动情况的影响,进而在实验的基础上推理得出运动物体在不受外力时将保持匀速直线运动,并体现了物理研究的基本思路,值得我们学习和借鉴.
练习册系列答案
相关习题

科目:初中物理 来源: 题型:

(2013?玄武区二模)现有长木板、木块、钩码、弹簧测力计、小车、毛巾、棉布、斜面等实验器材.
(1)小明选择其中部分器材,组装后如图A所示,他想研究的问题是
滑动摩擦力大小与哪些因素有关
滑动摩擦力大小与哪些因素有关
,实验中毛巾的作用是改变
接触面的粗糙程度
接触面的粗糙程度
拉动木块,观察比较图甲、乙可知
接触面粗糙程度相同时,压力越大,滑动摩擦力越大
接触面粗糙程度相同时,压力越大,滑动摩擦力越大

(2)小宇选择其中部分器材进行“探究阻力对物体运动的影响”的实验,如图B所示,实验中让同一小车从同一斜面的同一高度处滑下的目的是使小车
滑到底端时具有相同的速度
滑到底端时具有相同的速度
;三次实验中小车静止时的位置如图所示.通过观察比较实验现象,并进一步推理可知若水平面绝对光滑,则小车会
在水平面上做匀速直线运动
在水平面上做匀速直线运动

(3)小华想探究“动能大小与哪些因素有关”,他选择器材做了图C所示的实验,该实验的目的是研究小车的动能的大小与
速度
速度
的关系,根据观察的实验现象可得出的实验结论是
质量相同的物体,运动速度越大,它的动能越大(物体的动能与它的速度有关)
质量相同的物体,运动速度越大,它的动能越大(物体的动能与它的速度有关)

查看答案和解析>>

科目:初中物理 来源: 题型:

如图是探究“阻力对物体运动的影响”的过程.
(1)根据图中情景可以判断以下说法正确的是
D
D

A.①是假设,②③是实验事实,④是实验推论
B.①②③④都是实验事实
C.①②是实验事实,③④是实验推论
D.①②③是实验事实,④是实验推论
(2)探究实验中,让同一小车从相同斜面的顶端由静止开始滑下的目的是使小车到达平面时具有相同的
速度
速度

(3)每次让小车从斜面同一高度由静止滑下,记下小车最终停在水平面上的位置.可知小车受到的阻力越小,小车运动的路程越
.正确地揭示了:力不是维持物体运动的原因,而是
改变
改变
物体运动状态的原因.
(4)一切物体在没有受到力的作用时,总保持
静止
静止
状态或
匀速直线
匀速直线
运动状态,这就是牛顿第一定律.

查看答案和解析>>

科目:初中物理 来源: 题型:

如图,是探究“阻力对物体运动的影响”的实验装置,实验小组同学做了三次实验,分别记录了小车运动的距离,请根据实验情况回答下列问题.
(1)小车每次都在斜面的同一高度滑下,这是为了
 
.分别让小车在毛巾、棉布、木板表面运动是为了
 

(2)实验中会发现小车在
 
(填“木板”或“毛巾”或“棉布”)表面上所受阻力
 
(填“最小”或“最大”),运动的最远.
(3)实验现象表明:平面越
 
,小车受到的阻力
 
,小车运动的越远.如果平面是绝对光滑的则小车
 
(填“受”或“不受”)阻力的作用,那么小车将
 

精英家教网

查看答案和解析>>

科目:初中物理 来源: 题型:

精英家教网杨帆同学在探究阻力对物体运动影响的实验时,给水平桌面上粗糙程度不同的物体(棉布、木板、玻璃),装置如图所示.让小车先后从同一斜面的同一高度静止下滑,观察小车在不同表面运动的距离.她的实验记录如下:
物体表面 表面状况 小车运动的距离
棉布 粗糙 20cm
木板 较光滑 45cm
玻璃 光滑 76cm
根据杨帆同学的实验记录,可以得出:平面越光滑,小车运动的距离越
 
,这说明小车受到的阻力越
 
.由此推理,如果运动物体不受力,它将做
 
运动.

查看答案和解析>>

同步练习册答案