精英家教网 > 初中物理 > 题目详情

有一电热水壶,铭牌如右表所示。求:

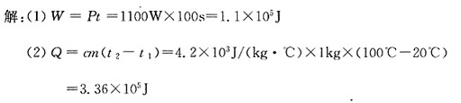
(1)该电热水壶正常工作100s消耗了多少电能?

(2)将质量为1kg.温度为20℃的水加热到100℃,水吸收了多少热量?[C承=4.2×103J/(kg·℃)]

练习册系列答案
相关习题

科目:初中物理 来源: 题型:

精英家教网有一电热水壶,铭牌如表所示.求:
(1)该电热水壶的额定电流和电阻.
(2)该电热水壶正常工作100s消耗了多少电能?
(3)将质量为1kg、温度为20℃的水加热到100℃,水吸收了多少热量?[C=4.2×103J/(kg?℃)].

查看答案和解析>>

科目:初中物理 来源: 题型:

有一电热水壶,铭牌如右表所示.现将质量为1kg、温度为20℃的一壶冷水,加热到100℃.求:
电热水壶
型号:91150
额定电压:220V 频率:50Hz
额定功率:1500W 容量:1L
(1)水吸收的热量是多少?[水的比热容为4.2×103J/(kg?℃)]
(2)若不计热量损失,电热水壶需正常工作多长时间?

查看答案和解析>>

科目:初中物理 来源: 题型:

有一电热水壶,铭牌如图所示.
求:
(1)该电热水壶正常工作1min消耗多少电能?
(2)将一壶满水温度为20℃加热到100℃,水吸收多少热量?[C=4.2×103J/(kg?℃)]
(3)电热水壶为什么常用三脚插头?

查看答案和解析>>

科目:初中物理 来源: 题型:

有一电热水壶的铭牌如表所示.如果此电热水壶的效率为70%,用它把一满壶20℃的水加热到100℃,水需要吸收
3.696×105
3.696×105
J的热量,需要加热
8
8
min?[c=4.2×103J/(kg?℃)].

查看答案和解析>>

科目:初中物理 来源: 题型:

有一电热水壶,铭牌如表所示:
额定电压 220V
额定功率 1000W
频率 50Hz
容量 5L
壶重 20N
(1)若在壶中装满20℃的水,其水的质量是多少?
(2)若把这些水烧开,吸收的热量是多少?(设壶内为一标准大气压,且不计热量损失和壶吸收的热量)
(3)在额定电压下烧开这些水需要多少时间?
(4)如果水吸收的热量由热值为3×103J/Kg的普通煤完全燃烧时放出的热量的80%来提供,把这壶水烧开需多少千克的普通煤?
(5)在用电高峰时,电热水壶的实际电压为额定电压的90%,则此时该水壶的实际功率是多少?(电热水壶的电阻不变)

查看答案和解析>>

同步练习册答案