精英家教网 > 初中物理 > 题目详情
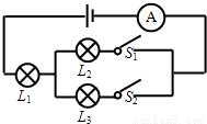
如图中灯泡L1的电阻是6Ω,L2的电阻是4Ω,S1闭合、S2断开时,电流表的读数是I1=0.8A;S1断开、S2闭合时,电流表的读数为I2=0.5A.求灯泡L3的阻值和电源电压.

【答案】分析:当S1闭合、S2断开时,灯泡L1、L2串联,根据串联电路电阻特点求出总电阻,利用欧姆定律求出电源的电压;
当S1断开、S2闭合时,灯泡L1、L3串联,根据欧姆定律先求出电路中的总电阻,再利用串联电路电阻特点求出灯泡L3的阻值.
解答:解:S1闭合、S2断开时,灯泡L1、L2串联,
电路的总电阻:
R=R1+R2=6Ω+4Ω=10Ω
电源的电压:
U=IR=0.8A×10Ω=8V;
S1断开、S2闭合时,灯泡L1、L3串联,
此时电路的总电阻:
R′===16Ω
灯泡L3的阻值:
R3=R′-R1=16Ω-6Ω=10Ω
答:灯泡L3的阻值为10Ω;电源电压为8V.
点评:本题考查了欧姆定律的灵活运用和串联电路电流、电阻的规律,关键是明白开关断开与闭合时电路的连接情况.
练习册系列答案
相关习题

科目:初中物理 来源: 题型:

如图中灯泡L1的电阻是6Ω,L2的电阻是4Ω,S1闭合、S2断开时,电流表的读数是I1=0.8A;S1断开、S2闭合时,电流表的读数为I2=0.5A.求灯泡L3的阻值和电源电压.

查看答案和解析>>

科目:初中物理 来源: 题型:解答题

如图中灯泡L1的电阻是6Ω,L2的电阻是4Ω,S1闭合、S2断开时,电流表的读数是I1=0.8A;S1断开、S2闭合时,电流表的读数为I2=0.5A.求灯泡L3的阻值和电源电压.

查看答案和解析>>

科目:初中物理 来源:2011-2012学年湖南省株洲市茶陵县世纪星实验学校八年级(上)期中物理试卷(解析版) 题型:解答题

如图中灯泡L1的电阻是6Ω,L2的电阻是4Ω,S1闭合、S2断开时,电流表的读数是I1=0.8A;S1断开、S2闭合时,电流表的读数为I2=0.5A.求灯泡L3的阻值和电源电压.

查看答案和解析>>

科目:初中物理 来源:2010-2011学年四川省乐山市铜茨中学九年级(下)月考物理试卷(三月)(解析版) 题型:解答题

如图中灯泡L1的电阻是6Ω,L2的电阻是4Ω,S1闭合、S2断开时,电流表的读数是I1=0.8A;S1断开、S2闭合时,电流表的读数为I2=0.5A.求灯泡L3的阻值和电源电压.

查看答案和解析>>

科目:初中物理 来源:2008-2009学年安徽省巢湖市九年级(上)物理复习试卷:欧姆定律(解析版) 题型:解答题

如图中灯泡L1的电阻是6Ω,L2的电阻是4Ω,S1闭合、S2断开时,电流表的读数是I1=0.8A;S1断开、S2闭合时,电流表的读数为I2=0.5A.求灯泡L3的阻值和电源电压.

查看答案和解析>>

同步练习册答案