精英家教网 > 初中物理 > 题目详情
把“6V 3W”与“6V 6W”的电灯串联接入某一电路中,如果让其中一个灯泡发光,求电路两端的电压.(灯丝电阻不随温度改变)
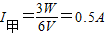
【答案】分析:由灯的铭牌可求灯正常发光电流,两灯串联时电流相等,通过该电流时,应使正常发光电流小的灯正常发光.
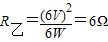
解答:解:两灯的电阻:
两灯正常发光时的电流:
由题知,串联接入某一电路中,如果让其中一个灯泡发光,电路中的电流应该为0.5A
∴U=I(R1+R2)=0.5A×(12Ω+6Ω)=9V
答:电路两端的电压应为9V
点评:本题根据灯的铭牌求出正常发光的电流,进而确定电路中的电流是关键
练习册系列答案
相关习题

科目:初中物理 来源: 题型:

(2006?朝阳区二模)把“6V 3W”与“6V 1W”的两个灯泡串联后接入某一电路中,如果让其中一个灯泡正常发光,电路两端的电压应是
8
8
V(设灯丝电阻不随温度改变).

查看答案和解析>>

科目:初中物理 来源: 题型:

把“6V 3W”与“6V 6W”的电灯串联接入某一电路中,如果让其中一个灯泡发光,求电路两端的电压.(灯丝电阻不随温度改变)

查看答案和解析>>

科目:初中物理 来源: 题型:

把“6V 3W”与“6V 1W”的电灯串联接入某一电路中,如果让其中一个灯泡正常发光,电路两端的电压应是
8
8
伏.(灯丝电阻不随温度改变)

查看答案和解析>>

科目:初中物理 来源: 题型:

把“6V 3W”与“6V 1W”的两个灯泡串联后接入某一电路中,如果其中一灯泡正常发光,则电路中的电流为
0.17
0.17
 A,电路两端的电压应是
8
8
V.

查看答案和解析>>

科目:初中物理 来源:不详 题型:问答题

把“6V 3W”与“6V 6W”的电灯串联接入某一电路中,如果让其中一个灯泡发光,求电路两端的电压.(灯丝电阻不随温度改变)

查看答案和解析>>

同步练习册答案