精英家教网 > 初中物理 > 题目详情
所示为挂衣服的碗形吸盘,请你利用它和一块平板玻璃、一只弹簧测力计、两块三角板和一把刻度尺来估测大气压强的数值.要求:
(1)简述主要操作步骤;
(2)写出用测出的物理量表示大气压强的数学表达式.

【答案】分析:在托里拆利实验中,是利用大气压等于管内水银柱的压强来求出大气压的值.而本题根据题目给予的材料,吸盘能吸在玻璃上就是因为大气压的作用,故可以利用大气压对吸盘的压力等于将吸盘拉下的拉力来求出大气压的值.
解答:解:①将吸盘压在平板玻璃上并挤出里面的空气,此时吸盘就被大气压紧压在了玻璃上;
②用弹簧测力计沿与吸盘表面垂直的方向拉吸盘,记下把吸盘拉起时弹簧测力计的示数F;
③用两块三角板和一把刻度尺配合测出吸盘的直径D
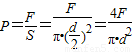
;④可知P大气S=F,故可得
故本题的答案为:
(1)将吸盘压在平板玻璃上并挤出里面的空气,使它紧紧“吸”在玻璃上;用弹簧测力计沿与吸盘表面垂直的方向拉吸盘,记下把吸盘拉起时弹簧测力计的示数F:用两块三角板和一把刻度尺配合测出吸盘的直径D.
(2)
点评:作为一个只提供器材而要求设计实验的探究型实验题,一向是学生比较头疼的,在分析时要注意借鉴已学过的相关实验和知识.
练习册系列答案
相关习题

科目:初中物理 来源: 题型:

所示为挂衣服的碗形吸盘,请你利用它和一块平板玻璃、一只弹簧测力计、两块三角板和一把刻度尺来估测大气压强的数值.要求:
(1)简述主要操作步骤;
(2)写出用测出的物理量表示大气压强的数学表达式.

查看答案和解析>>

科目:初中物理 来源: 题型:解答题

所示为挂衣服的碗形吸盘,请你利用它和一块平板玻璃、一只弹簧测力计、两块三角板和一把刻度尺来估测大气压强的数值.要求:
(1)简述主要操作步骤;
(2)写出用测出的物理量表示大气压强的数学表达式.

查看答案和解析>>

科目:初中物理 来源:月考题 题型:实验题

下图为一挂衣服的碗形的吸盘,请你利用一块平板玻璃,一只弹簧秤,两只三角板和一把刻度尺,来估测大气压强的数值。要求:简述主要操作步骤及用测出的物理量表示出大气压强的数学表达式。

查看答案和解析>>

科目:初中物理 来源:2009-2010学年沪科版八年级(下)同步练习(1)(解析版) 题型:解答题

所示为挂衣服的碗形吸盘,请你利用它和一块平板玻璃、一只弹簧测力计、两块三角板和一把刻度尺来估测大气压强的数值.要求:
(1)简述主要操作步骤;
(2)写出用测出的物理量表示大气压强的数学表达式.

查看答案和解析>>

同步练习册答案