精英家教网 > 初中物理 > 题目详情
汽车出厂前要进行测试.某次测试中,先让汽车在模拟山路上以8m/s的速度行驶500s,紧接着在模拟公路上以20m/s的速度行驶100s.求:
(1)该汽车在模拟山路上行驶的路程;
(2)汽车在这次整个测试中的平均速度.
【答案】分析:(1)根据速度公式v=就会求出汽车在模拟山路上行驶的路程;
(2)山路上与公路上的总路程除以山路上与公路上总时间即为汽车在这次整个测试中的平均速度.
解答:解:已知:V1=8m/s,t1=500s,V2=20m/s,t2=100s,
(1)根据速度公式得S1=V1tl=8m/s×500s=4000m,
答:汽车在模拟山路上行驶的路程为4000m.
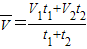
(2)汽车在这次整个测试中的平均速度:
==
答:汽车在这次整个测试中的平均速度10m/s.
点评:本题考查了速度公式的计算,属于常见的考题.
练习册系列答案
相关习题

科目:初中物理 来源: 题型:

(2002?海淀区)汽车出厂前要进行测试.某次测试中,先让汽车在模拟山路上以8m/s的速度行驶500s,紧接着在模拟公路上以20m/s的速度行驶100s.求:
(1)该汽车在模拟山路上行驶的路程;
(2)汽车在这次整个测试中的平均速度.

查看答案和解析>>

科目:初中物理 来源: 题型:

汽车出厂前要进行测试,某次测试中,先让重为104N的汽车在模拟山路上以8m/s的速度匀速行驶400m,紧接着在模拟公路上以20m/s的速度匀速行驶100s,求:
(1)该汽车在模拟公路上行驶的路程;
(2)汽车在这次整个测试过程中的平均速度;
(3)如果汽车受到的阻力是车重的0.03倍,则发动机的牵引力是多少N?

查看答案和解析>>

科目:初中物理 来源: 题型:

汽车出厂前要进行测试.某次测试中,先让汽车在模拟山路上以8m/s的速度行驶500s,紧接着在模拟公路上以20m/s的速度行驶100s,则汽车在这次整个测试中的平均速度是:

查看答案和解析>>

科目:初中物理 来源:2011届江苏省无锡市锡山区中考一模物理试题 题型:计算题

汽车出厂前要进行测试.某次测试中,先让汽车在模拟山路上以8m/s的速度行驶500s,紧接着在模拟公路上以20m/s的速度行驶100s.求:
(1)该汽车在模拟山路上行驶的路程;
(2)汽车在这次整个测试中的平均速度.

查看答案和解析>>

科目:初中物理 来源:2012-2013学年山东省枣庄市峄城区八年级第一次月考物理试卷(带解析) 题型:计算题

汽车出厂前要进行测试.某次测试中,先让汽车在模拟山路上以8m/s的速度行驶500s,紧接着在模拟公路上以20m/s的速度行驶100s.求:
(1)该汽车在模拟山路上行驶的路程;
(2)汽车在这次整个测试中的平均速度.

查看答案和解析>>

同步练习册答案