Ŀǰ£¬¡°½ÚÄܼõÅÅ¡±ÒÑÒýÆðÈ«ÇòµÄ¹Ø×¢£®ÈçºÎ¼õÉÙÄܺģ¬Ìá¸ßÆû³µ·¢¶¯»úµÄЧÂÊÔ½À´Ô½Êܵ½ÈËÃǵÄÖØÊÓ£¬£¨1£©´ó¶àÊý¼ÒÓÃÆû³µµÄ·¢¶¯»ú¾ùΪÆûÓÍ»ú£¬Ëü°ÑÆûÓÍȼÉÕ²úÉúµÄÄÚÄܲ¿·Öת»¯³É»úеÄÜ£¬ÔÙͨ¹ý´«¶¯»ú¹¹½«¶¯Á¦´«¸ø³µÂÖʹÆû³µÐÐÊ»£®ÇëÄ㽫ͼ11ÖÐÆûÓÍ»ú¹¤×÷ʱµÄÄÜÁ÷ͼ²¹³äÍêÕû£®

£¨2£©·¢¶¯»úµÄЧÂÊÊÇÆû³µµÄ¾­¼ÃÐÔÄÜÖ¸±êÖ®Ò»£®³§¼ÒÌṩµÄijÆû³µ³ö³§µÄ²¿·Ö²ÎÊýÈçÏ£»

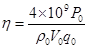
¢Ù²âÊÔÊý¾Ý£ºÆû³µÔÚÆ½Ö±¹«Â·ÉÏÒÔ90km/hµÄËÙ¶ÈÔÈËÙÐÐʻʱ£¬°Ù¹«ÀïºÄÓÍÁ¿ÎªV0£¨L£©£¬·¢¶¯»úÊä³ö¹¦ÂÊΪP0£¨kW£©£»¢ÚʹÓÃȼÁÏ£º93#ÆûÓÍ[ÈÈֵΪq0£¨J/kg£©¡¢ÃܶÈΪ¦Ño£¨kg/m3£©]£® 

ÇëÓÃÒÔÉϲÎÊýÍÆËã³öÔÚ²âÊÔÌõ¼þÏ£¬¸ÃÆû³µ·¢¶¯»úµÄЧÂÊ£®

 

 

¡¾´ð°¸¡¿

£¨1£©»úеĦ²ÁÏûºÄÄÚÄÜ  ·ÏÆø´ø×ßÄÚÄÜ  £¨2£©

¡¾½âÎö¡¿

ÊÔÌâ·ÖÎö£º£¨1£©ÓÃÀ´×öÓÐÓù¦µÄÄDz¿·ÖÄÜÁ¿£¬ÓëȼÁÏÍêȫȼÉշųöµÄÄÜÁ¿Ö®±È£¬½ÐÈÈ»úµÄЧÂÊ¡£

ȼÁÏÊͷŵÄÄÜÁ¿°üÀ¨£º»úеĦ²ÁÏûºÄÄÚÄÜ£»·ÏÆø´ø×ßÄÚÄÜ£»»úеɢÈȺÄÄÜ£»ÓÐÓûúеÄÜ£»ËüÃǶ¼Ó°ÏìÈÈ»úµÄЧÂÊ¡£¹Ê´ð°¸Îª£º»úеĦ²ÁÏûºÄÄÚÄÜ£»·ÏÆø´ø×ßÄÚÄÜ¡£

£¨2£©ÒªÇó·¢¶¯»ú¹¦ÂÊ£¬±ØÏÈÇó³öÓÐÓù¦ºÍ×ܹ¦£¬ÌâÄ¿ÖеÄÓÐÓù¦ÊÇ·¢¶¯»úµÄÊä³ö¹¦£¬¿ÉÓÉÊä³ö¹¦ÂʳËʱ¼äÇó³ö£¬×ܹ¦ÊÇÏûºÄȼÁÏËù·Å³öµÄ×ÜÈÈÁ¿£¬ÒòΪ·¢¶¯»úµÄÄÜÁ¿ÓÉȼÁϸøµÄ£¬µ«ÊDz»ÄÜÍêÈ«½ÓÊÜȼÁϵÄËùÓÐÄÜÁ¿£¬¸ù¾ÝÌâÄ¿µÄÌõ¼þ£¬È¼ÁÏ×ÜÈÈÁ¿¿ÉÒÔÓÉÏûºÄȼÁϵÄÖÊÁ¿³ËÒÔȼÁÏÈÈÖµÇóµÃ¡£

¿¼µã£ºÈÈ»úЧÂÊ

 

Á·Ï°²áϵÁдð°¸
Ïà¹ØÏ°Ìâ

¿ÆÄ¿£º³õÖÐÎïÀí À´Ô´£º ÌâÐÍ£º

Ŀǰ£¬¡°½ÚÄܼõÅÅ¡±ÒÑÒýÆðÈ«ÇòµÄ¹Ø×¢£®ÈçºÎ¼õÉÙÄܺģ¬Ìá¸ßÆû³µ·¢¶¯»úµÄЧÂÊÔ½À´Ô½Êܵ½ÈËÃǵÄÖØÊÓ£¬
£¨1£©´ó¶àÊý¼ÒÓÃÆû³µµÄ·¢¶¯»ú¾ùΪÆûÓÍ»ú£¬Ëü°ÑÆûÓÍȼÉÕ²úÉúµÄÄÚÄܲ¿·Öת»¯³É»úеÄÜ£¬ÔÙͨ¹ý´«¶¯»ú¹¹½«¶¯Á¦´«¸ø³µÂÖʹÆû³µÐÐÊ»£®ÇëÄ㽫ͼÖÐÆûÓÍ»ú¹¤×÷ʱµÄÄÜÁ÷ͼ²¹³äÍêÕû£®
¾«Ó¢¼Ò½ÌÍø
£¨2£©·¢¶¯»úµÄЧÂÊÊÇÆû³µµÄ¾­¼ÃÐÔÄÜÖ¸±êÖ®Ò»£®³§¼ÒÌṩµÄijÆû³µ³ö³§µÄ²¿·Ö²ÎÊýÈçÏ£»
¢Ù²âÊÔÊý¾Ý£ºÆû³µÔÚÆ½Ö±¹«Â·ÉÏÒÔ90km/hµÄËÙ¶ÈÔÈËÙÐÐʻʱ£¬°Ù¹«ÀïºÄÓÍÁ¿ÎªV0£¨L£©£¬·¢¶¯»úÊä³ö¹¦ÂÊΪP0£¨kW£©£»
¢ÚʹÓÃȼÁÏ£º93#ÆûÓÍ[ÈÈֵΪq0£¨J/kg£©¡¢ÃܶÈΪ¦Ño£¨kg/m3£©]£®
ÇëÓÃÒÔÉϲÎÊýÍÆËã³öÔÚ²âÊÔÌõ¼þÏ£¬¸ÃÆû³µ·¢¶¯»úµÄЧÂÊ£®

²é¿´´ð°¸ºÍ½âÎö>>

¿ÆÄ¿£º³õÖÐÎïÀí À´Ô´£º ÌâÐÍ£º

£¨2012?½­ÃÅÄ£Ä⣩Ŀǰ£¬¡°½ÚÄܼõÅÅ¡±ÒÑÒýÆðÈ«ÇòµÄ¹Ø×¢£®
£¨1£©Ä¿Ç°¹ú¼ÒÌᳫ¡°µÍ̼Éú»î¡±£¬Êµ¼ÊÉÏÊÇΪÁ˽ÚÔ¼ÄÜÔ´ºÍ±£»¤»·¾³£¬²¢½¥±»ÈË ÃǽÓÊܼ°¸¶ÖîÐж¯£®ÏÂÁÐ˵·¨ÖзûºÏ¡°µÍ̼Éú»î¡±ÀíÄî
C
C
£®
A¡¢ÎªÁËÎÀÉú¶øÊ¹ÓÃÒ»´ÎÐÔÍë¿ê 
B¡¢ÎªÁË·½±ã¶øÊ¹ÓÃÒ»´ÎÐÔËÜÁÏ´ü
C¡¢ÉÏѧʱÄÜÆïµ¥³µ¾Í¾¡Á¿²»×ø¼ÒÀïµÄÆû³µ          
D¡¢¶àÓÃÏ´Ò»úÏ´Ò·þ£¬ÉÙÓÃÊÖÏ´
£¨2£©ÈçºÎ¼õÉÙÄܺġ¢Ìá¸ßÆû³µ·¢¶¯»úµÄЧÂÊÒ²Ô½À´Ô½Êܵ½ÈËÃǵÄÖØÊÓ£®Ð¡Ã÷¼Ò µÄÆû³µ·¢¶¯»úΪÆûÓÍ·¢¶¯»ú£¬Ëü°ÑÆûÓÍȼÉÕ²úÉúµÄÄÚÄܲ¿·Öת»¯Îª»úеÄÜ£¬ÔÙͨ¹ý´«¶¯»ú¹¹½«¶¯Á¦´«¸ø³µÂÖʹÆû³µÐÐÊ»£¬Èçͼ¼×ÊÇÆûÓÍ»ú¹¤×÷ʱµÄÄÜÁ÷ͼ£¬ÔòÀ¨ºÅÄÚÓ¦ÌîµÄÊÇ
¿Ë·þĦ²ÁºÄÄÜ
¿Ë·þĦ²ÁºÄÄÜ
£®Ð¡Ã÷´Ó°Ö°ÖÄÇÀïÁ˽⵽Ëû¼ÒµÄÆû³µÔÚ¸ßËÙ¹«Â·ÉÏÿÔÈËÙÐÐÊ»100km£¬Æ½¾ùºÄÓÍ6kg£¬ÔòÆû³µµÄЧÂÊΪ
21.7%
21.7%
£®£¨ÒÑÖªÆû³µÊܵ½µÄ×èÁ¦Îª600NÆûÓ͵ÄÈÈֵΪ4.6¡Á107J/kg£©
£¨3£©Ð¡»¨¼Ò½ñÄ깺ÂòÁËÒ»Á¾µç¶¯³µ£¬Ëüͨ¹ýÐîµç³ØÀ´ÌṩµçÄÜ£¬Í¨¹ýµç¶¯»úµÃµ½¶¯Á¦£¬ÈçͼÒÒÊǵ綯³µ¹¤×÷ʱµÄÄÜÁ÷ͼ£¬ÔòÀ¨ºÅÄÚÓ¦ÌîµÄÊÇ
»úеɢÈȺÄÄÜ
»úеɢÈȺÄÄÜ
£®µç¶¯³µµÄµçÔ´²ÉÓõÄÊÇ48VµÄµçѹ£¬Èç¹ûʹÓÃ12VµÄǦÐîµç³Ø£¬ÔòÓ¦½«
4
4
¸öǦÐîµç³Ø
´®
´®
Áª£®

²é¿´´ð°¸ºÍ½âÎö>>

¿ÆÄ¿£º³õÖÐÎïÀí À´Ô´£º ÌâÐÍ£º

Ŀǰ£¬¡°½ÚÄܼõÅÅ¡±ÒÑÒýÆðÈ«ÇòµÄ¹Ø×¢£®ÈçºÎ¼õÉÙÄܺģ¬Ìá¸ßÆû³µ·¢¶¯»úµÄЧÂÊÔ½À´Ô½Êܵ½ÈËÃǵÄÖØÊÓ£¬´ó¶àÊý¼ÒÓÃÆû³µµÄ·¢¶¯»ú¾ùΪÆûÓÍ»ú£¬Ëü°ÑÆûÓÍȼÉÕ²úÉúµÄÄÚÄܲ¿·Öת»¯³É»úеÄÜ£¬ÔÙͨ¹ý´«¶¯»ú¹¹½«¶¯Á¦´«¸ø³µÂÖʹÆû³µÐÐÊ»£¬Ð¡Ã÷µÄ°Ö°ÖÐÂÂòÁËÒ»Á¾Ð¡Æû³µ£¬ÈçͼËùʾ£¬Ð¡Ã÷×ø×ÅÕâÁ¾Æû³µÔÈËÙÐÐÊ»144km£¬ÓÃʱ2h£¬ÏûºÄÆûÓÍ9kg£¬Æä·¢¶¯»úµÄ¹¦ÂÊΪ23kW£®ÇëÔËÓÃËùѧµÄ֪ʶ½â´ðÏÂÁÐÎÊÌ⣮£¨ÆûÓ͵ÄÈÈֵΪ4.6¡Á107J/kg£©
£¨1£©Æû³µÐ§ÂʱȽϵͣ¬Ô­ÒòÊÇʲô£¿Ö¸³öÁ½µã¼´¿É£®
£¨2£©Æû³µÔÈËÙÐÐʻʱËùÊܵÄÇ£ÒýÁ¦ÊǶà´ó£¿
£¨3£©Æû³µ·¢¶¯»úµÄЧÂÊÊǶàÉÙ£¿
£¨4£©¹Û²ìСÆû³µµÄÍâÐÍ£¬ÅжÏСÆû³µÔÚË®Æ½Â·Ãæ¸ßËÙÐÐÊ»ºÍ¾²Ö¹Ê±£¬¶ÔµØÃæÑ¹Á¦ÄÄÒ»¸ö´ó£¿ÎªÊ²Ã´£¿

²é¿´´ð°¸ºÍ½âÎö>>

¿ÆÄ¿£º³õÖÐÎïÀí À´Ô´£º2014½ì¶È¹ã¶«Ê¡¾ÅÄê¼¶µÚһѧÆÚÆÚÖÐÎïÀíÊÔ¾í£¨½âÎö°æ£© ÌâÐÍ£º¼ò´ðÌâ

Ŀǰ£¬¡°½ÚÄܼõÅÅ¡±ÒÑÒýÆðÈ«ÇòµÄ¹Ø×¢£®

£¨1£©Ä¿Ç°¹ú¼ÒÌᳫ¡°µÍ̼Éú»î¡±£¬Êµ¼ÊÉÏÊÇΪÁ˽ÚÔ¼ÄÜÔ´ºÍ±£»¤»·¾³£¬²¢½¥±»ÈË ÃǽÓÊܼ°¸¶ÖîÐж¯£®ÏÂÁÐ˵·¨ÖзûºÏ¡°µÍ̼Éú»î¡±ÀíÄî¡¡_________¡¡£®

A¡¢ÎªÁËÎÀÉú¶øÊ¹ÓÃÒ»´ÎÐÔÍë¿ê

B¡¢ÎªÁË·½±ã¶øÊ¹ÓÃÒ»´ÎÐÔËÜÁÏ´ü

C¡¢ÉÏѧʱÄÜÆïµ¥³µ¾Í¾¡Á¿²»×ø¼ÒÀïµÄÆû³µ

D¡¢¶àÓÃÏ´Ò»úÏ´Ò·þ£¬ÉÙÓÃÊÖÏ´

£¨2£©ÈçºÎ¼õÉÙÄܺġ¢Ìá¸ßÆû³µ·¢¶¯»úµÄЧÂÊÒ²Ô½À´Ô½Êܵ½ÈËÃǵÄÖØÊÓ£®Ð¡Ã÷¼Ò µÄÆû³µ·¢¶¯»úΪÆûÓÍ·¢¶¯»ú£¬Ëü°ÑÆûÓÍȼÉÕ²úÉúµÄÄÚÄܲ¿·Öת»¯Îª»úеÄÜ£¬ÔÙͨ¹ý´«¶¯»ú¹¹½«¶¯Á¦´«¸ø³µÂÖʹÆû³µÐÐÊ»£¬Èçͼ¼×ÊÇÆûÓÍ»ú¹¤×÷ʱµÄÄÜÁ÷ͼ£¬ÔòÀ¨ºÅÄÚÓ¦ÌîµÄÊÇ¡¡_________¡¡___¡¡_____¡¡____¡¡£®Ð¡Ã÷´Ó°Ö°ÖÄÇÀïÁ˽⵽Ëû¼ÒµÄÆû³µÔÚ¸ßËÙ¹«Â·ÉÏÿÔÈËÙÐÐÊ»100km£¬Æ½¾ùºÄÓÍ6kg£¬ÔòÆû³µµÄЧÂÊΪ¡¡________¡¡£®£¨ÒÑÖªÆû³µÊܵ½µÄ×èÁ¦Îª600NÆûÓ͵ÄÈÈֵΪ4.6¡Á107J/kg£©

£¨3£©Ð¡»¨¼Ò½ñÄ깺ÂòÁËÒ»Á¾µç¶¯³µ£¬Ëüͨ¹ýÐîµç³ØÀ´ÌṩµçÄÜ£¬Í¨¹ýµç¶¯»úµÃµ½¶¯Á¦£¬ÈçͼÒÒÊǵ綯³µ¹¤×÷ʱµÄÄÜÁ÷ͼ£¬ÔòÀ¨ºÅÄÚÓ¦ÌîµÄÊÇ__________¡¡_____¡¡£®µç¶¯³µµÄµçÔ´²ÉÓõÄÊÇ48VµÄµçѹ£¬Èç¹ûʹÓÃ12VµÄǦÐîµç³Ø£¬ÔòÓ¦½«_______¡¡¸öǦÐîµç³Ø¡¡_____¡¡Áª£®

 

 

²é¿´´ð°¸ºÍ½âÎö>>

¿ÆÄ¿£º³õÖÐÎïÀí À´Ô´£º2014½ì¶È¹ã¶«Ê¡¾ÅÄê¼¶µÚһѧÆÚÆÚÖÐÎïÀíÊÔ¾í£¨½âÎö°æ£© ÌâÐÍ£º¼ò´ðÌâ

Ŀǰ£¬¡°½ÚÄܼõÅÅ¡±ÒÑÒýÆðÈ«ÇòµÄ¹Ø×¢£®

£¨1£©Ä¿Ç°¹ú¼ÒÌᳫ¡°µÍ̼Éú»î¡±£¬Êµ¼ÊÉÏÊÇΪÁ˽ÚÔ¼ÄÜÔ´ºÍ±£»¤»·¾³£¬²¢½¥±»ÈË ÃǽÓÊܼ°¸¶ÖîÐж¯£®ÏÂÁÐ˵·¨ÖзûºÏ¡°µÍ̼Éú»î¡±ÀíÄî¡¡_________¡¡£®

A¡¢ÎªÁËÎÀÉú¶øÊ¹ÓÃÒ»´ÎÐÔÍë¿ê

B¡¢ÎªÁË·½±ã¶øÊ¹ÓÃÒ»´ÎÐÔËÜÁÏ´ü

C¡¢ÉÏѧʱÄÜÆïµ¥³µ¾Í¾¡Á¿²»×ø¼ÒÀïµÄÆû³µ

D¡¢¶àÓÃÏ´Ò»úÏ´Ò·þ£¬ÉÙÓÃÊÖÏ´

£¨2£©ÈçºÎ¼õÉÙÄܺġ¢Ìá¸ßÆû³µ·¢¶¯»úµÄЧÂÊÒ²Ô½À´Ô½Êܵ½ÈËÃǵÄÖØÊÓ£®Ð¡Ã÷¼Ò µÄÆû³µ·¢¶¯»úΪÆûÓÍ·¢¶¯»ú£¬Ëü°ÑÆûÓÍȼÉÕ²úÉúµÄÄÚÄܲ¿·Öת»¯Îª»úеÄÜ£¬ÔÙͨ¹ý´«¶¯»ú¹¹½«¶¯Á¦´«¸ø³µÂÖʹÆû³µÐÐÊ»£¬Èçͼ¼×ÊÇÆûÓÍ»ú¹¤×÷ʱµÄÄÜÁ÷ͼ£¬ÔòÀ¨ºÅÄÚÓ¦ÌîµÄÊÇ¡¡_________¡¡___¡¡_____¡¡____¡¡£®Ð¡Ã÷´Ó°Ö°ÖÄÇÀïÁ˽⵽Ëû¼ÒµÄÆû³µÔÚ¸ßËÙ¹«Â·ÉÏÿÔÈËÙÐÐÊ»100km£¬Æ½¾ùºÄÓÍ6kg£¬ÔòÆû³µµÄЧÂÊΪ¡¡________¡¡£®£¨ÒÑÖªÆû³µÊܵ½µÄ×èÁ¦Îª600NÆûÓ͵ÄÈÈֵΪ4.6¡Á107J/kg£©

£¨3£©Ð¡»¨¼Ò½ñÄ깺ÂòÁËÒ»Á¾µç¶¯³µ£¬Ëüͨ¹ýÐîµç³ØÀ´ÌṩµçÄÜ£¬Í¨¹ýµç¶¯»úµÃµ½¶¯Á¦£¬ÈçͼÒÒÊǵ綯³µ¹¤×÷ʱµÄÄÜÁ÷ͼ£¬ÔòÀ¨ºÅÄÚÓ¦ÌîµÄÊÇ__________¡¡_____¡¡£®µç¶¯³µµÄµçÔ´²ÉÓõÄÊÇ48VµÄµçѹ£¬Èç¹ûʹÓÃ12VµÄǦÐîµç³Ø£¬ÔòÓ¦½«_______¡¡¸öǦÐîµç³Ø¡¡_____¡¡Áª£®

 

 

²é¿´´ð°¸ºÍ½âÎö>>

ͬ²½Á·Ï°²á´ð°¸