精英家教网 > 初中物理 > 题目详情
关于“8V 4W”的灯L1和“4V 2W”的灯L2,下列说法中正确的是( )
A.L1的电阻小于L2的电阻
B.两灯串联在12V电源两端时都能正常发光
C.两灯均正常工作时,L2较亮
D.两灯并联时,两端最大可加8V电压
【答案】分析:根据串联电路处处电流相等和并联电路两端的电压相等进行分析,再根据R=分别计算出灯的电阻,然后比较出大小即可;灯泡的实际功率决定灯泡的亮度.
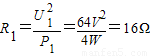
解答:解:A 因为,且R1>R2,所以A选项错误;
B 因为,且I1=I2,所以两灯串联后都能够正常发光,且电压为8V+4V=12V;故B选项正确;
C 因为L1的额定功率大于L2的额定功率,所以L1比较亮;
D 因为并联电路两端电压都相等,为了确保每个灯泡都不会烧坏,所以并联电路两端的电压为额定电压较小的,即4V,故D 选项错误.
故正确答案为:B
点评:会根据欧姆定律判断串联电路的最大电流和并联电路两端最大电压.
练习册系列答案
相关习题

科目:初中物理 来源: 题型:

关于“8V 4W”的灯L1和“4V 2W”的灯L2,下列说法中正确的是(  )
A、L1的电阻小于L2的电阻B、两灯串联在12V电源两端时都能正常发光C、两灯均正常工作时,L2较亮D、两灯并联时,两端最大可加8V电压

查看答案和解析>>

科目:初中物理 来源: 题型:

(2012?锡山区一模)关于“8V 4W”的灯L1和“4V 2W”的灯L2,下列说法中错误的是(  )

查看答案和解析>>

科目:初中物理 来源: 题型:

(2011?河东区一模)关于“8V 4W”的灯L1和“4V 2W”的灯L2,下列说法中正确的是(  )

查看答案和解析>>

科目:初中物理 来源: 题型:

关于“8V 4W”的灯L1和“4V 2W”的灯L2,下列说法中错误的是(  )

查看答案和解析>>

科目:初中物理 来源: 题型:

关于“8V 4W”的灯L1和“6V 3W”的灯L2,下列说法中错误的是(  )

查看答案和解析>>

同步练习册答案