精英家教网 > 初中物理 > 题目详情
一座大桥全长6.89千米,江面上正桥长为1570米,一列长为110米的火车匀速行驶,通过江面正桥需120秒,则火车的速度是多少米/秒?火车通过全桥需用的时间是多少?
【答案】分析:已知车长、正桥长和通过正桥的时间可以利用求车的速度,然后在求火车通过全桥需用的时间.
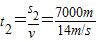
解答:解:(1)∵S1=1570m+110m=1680m;t1=120s

又∵s2=6890m+110m=7000m;
=500s.
答:火车的速度是14m/s,火车通过全桥需要的时间是500s.
点评:本题考查的是车过桥问题,要注意车运行的距离=车长+桥长.
练习册系列答案
相关习题

科目:初中物理 来源: 题型:

一座大桥全长6.89千米,江面上正桥长为1570米,一列长为110米的火车匀速行驶,通过江面正桥需120秒,则火车的速度是多少米/秒?火车通过全桥需用的时间是多少?

查看答案和解析>>

科目:初中物理 来源:不详 题型:问答题

一座大桥全长6.89千米,江面上正桥长为1570米,一列长为110米的火车匀速行驶,通过江面正桥需120秒,则火车的速度是多少米/秒?火车通过全桥需用的时间是多少?

查看答案和解析>>

科目:初中物理 来源:四川省月考题 题型:计算题

一座大桥全长6.89千米,江面上正桥长为1570米,一列长为110米的火车匀速行驶,通过江面正桥需120秒,则火车的速度是多少米/秒?火车通过全桥需用的时间是多少?

查看答案和解析>>

科目:初中物理 来源:2009-2010学年内蒙古包头五中九年级(上)期中物理试卷(解析版) 题型:解答题

一座大桥全长6.89千米,江面上正桥长为1570米,一列长为110米的火车匀速行驶,通过江面正桥需120秒,则火车的速度是多少米/秒?火车通过全桥需用的时间是多少?

查看答案和解析>>

科目:初中物理 来源:2011-2012学年云南省曲靖市师宗县民族中学九年级(上)期中物理试卷(解析版) 题型:解答题

一座大桥全长6.89千米,江面上正桥长为1570米,一列长为110米的火车匀速行驶,通过江面正桥需120秒,则火车的速度是多少米/秒?火车通过全桥需用的时间是多少?

查看答案和解析>>

同步练习册答案