【题目】小明想知道家中食用油的密度,于是他和小华用天平和量筒做了如下实验:
![]()
(1)将天平放在水平工作台上,将游码移到标尺左端的零刻线处,若发现指针指在分度盘的右侧,要使横梁平衡,应将_______。
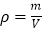
(2)用天平测出空烧杯的质量为17g,在烧杯中倒入适量的酱油,测出烧杯和酱油的总质量如同甲所示,将烧杯中的酱油全部倒入量筒中,酱油的体积如图乙所示,则烧杯中酱油的质量为_______ g,酱油的密度为_______kg/m3。
(3)小明用这种方法测出的酱油密度会_______(填“偏大”或“偏小”)
(4)小明不小心将量筒打碎了,只用天平也能测出酱油的密度。于是小华添加了两个完全相同的烧杯和适量的水,设计了如下实验步骤,请你补充完整。
a、调好天平,用天平测出空烧杯的质量为m0。
b、将一个烧杯装满水,用天平测出烧杯和水的总质量为m1。
c、用另一个烧杯装满酱油,用天平测出烧杯和酱油的总质量为m2。
d、酱油的密度表达式ρ=_______(已知水的密度为ρ水)。
【答案】 平衡螺母向左调 45 1.125×103 偏大
ρ水
【解析】分析:(1)天平使用前调节平衡时,要调节平衡螺母,规则是“右偏左调,左偏右调”,即指针向右偏就向左调平衡螺母,指针向左偏就向右调平衡螺母,调左侧的还是右侧的平衡螺母都是可以的。
(2)天平的分度值是0.2g,读数为砝码质量加游码对应的刻度值,即盐水和烧杯的总质量;减去烧杯质量,可得量筒内盐水的质量;量筒分度值为1ml,得出量筒内盐水的体积,利用密度公式
求出盐水的密度;
(3)由于烧杯内壁粘有液体,测得的盐水体积V偏小,但质量准确,所以密度变大;
(4)只有天平,没有量筒,可以利用等体积的水和酱油,称量水和酱油的质量,根据体积相等列出等式求出酱油的密度。
解答:(1)指针的位置指在分度盘中央的右侧,要使横梁平衡,应将平衡螺母向左调节;
(2)已知空烧杯m1=17g,酱油和烧杯的总质量
,量筒中酱油的质量:
,量筒中酱油的体积为
,酱油的密度:
。
(3)把烧杯中的酱油全部倒入量筒中,由于烧杯内壁粘有液体所以体积V偏小,根据密度公式
可知,密度偏大;
(3)小华不小心将量筒打碎了,用天平也能测量出酱油的密度:
①调好天平,用天平测出空烧杯质量为m0。
②将一个烧杯装满水,用天平测出烧杯和水的总质量为m1。
则水的质量
,由
可求得,水的体积
;
③用另一个烧杯装满酱油,用天平测出烧杯和酱油的总质量为m2。则水的质量
,烧杯内水的体积等于酱油的体积;
④则酱油的密度表达式
。
故答案为: (1). 平衡螺母向左调 (2). 45 (3). 1.125×103 (4). 偏大 (5).
科目:初中物理 来源: 题型:
【题目】某小组使用如图装置做“探究凸透镜成像的规律”的实验
![]()
(1)如图甲,一束平行于凸透镜主光轴的光线经过凸透镜后,在光屏上形成一个最小、最亮的光斑。由此可知该凸透镜的焦距是_____;
(2)点燃蜡烛后,为了使像能够成在光屏的中心,应调节烛焰、透镜和光屏的中心大致在_____上;
(3)将蜡烛移至光具座上20cm刻度线处,凸透镜位置不变,需要向_____(选填“左”或“右”)移动光屏才能在光屏上成清晰的像
(4)烛随着燃烧而变短,为了使像仍能成在光屏中央,需将透镜向_____(选填“上”或“下”)移动。
(5)实验后,某同学取下自己所戴的眼镜放在蜡烛与凸透镜之间靠近透镜的位置,光屏上原来清晰的像变模糊了,他将光屏向靠近透镜方向移动一段距离后,原来模糊的像又交清晰了,说明该同学所戴的是_____(选填“近视”或“远视”)眼镜。
查看答案和解析>>
科目:初中物理 来源: 题型:
【题目】在探究“影响液体内部压强大小的因素”的实验中
![]()
(1)实验中液体压强的大小变化是通过比较U形管两侧液面_____的变化,将探头放进盛水的容器中,探头的橡皮膜受到水的压强会_____(选填“内凹”或“外凸”)。
(2)通过比较C、D两个图,可得到结论:同一液体的压强_____的增加而增大。
(3)通过比较D、E两个图,可得到结论:在深度相同时,液体的_____越大,压强越大。
(4)通过比较A、B、C三个图,可得到结论:_____。
查看答案和解析>>
科目:初中物理 来源: 题型:
【题目】森林“动物运动会”中,龟兔准备进行1000米赛跑,比赛开始后,乌龟和兔子同时从起点出发,兔子5m/s的速度飞速奔跑,而乌龟只以0.1m/s的速度缓慢爬行,1min后兔子发现远远超过了乌龟,便骄傲地睡起了觉,而乌龟却坚持以不变的速度爬行.一段时间后兔子醒来发现乌龟还有10m就到终点.求:(1)兔子睡觉的地方离出发点多远?(2)兔子醒来时,乌龟共爬了多长时间?
查看答案和解析>>
科目:初中物理 来源: 题型:
【题目】如图所示,一束光在平面镜上发生反射,反射光恰好照在光屏的A处.若要让反射光照在光屏的B处,则下列方法中( )
①只将光屏竖直向下移动一段距离
②只将平面镜绕入射点O顺时针转过一定角度(<90°)
③只将光屏竖直向上移动一段距离
④只将平面镜水平向右移动一段距离.
![]()
A. 只有②可行 B. 只有④可行 C. ②和③都可行 D. ③和④都可行
查看答案和解析>>
科目:初中物理 来源: 题型:
【题目】在测定额定电压为“2.5V”小灯泡电功率的分组实验中:
![]()
(1)请用笔画线代替导线,将图甲中的实物电路连接完整__________.
(2)小明闭合开关后,发现灯泡不亮,电流表无示数,电压表有示数,则故障可能是____________.排除故障后,移动滑片使小灯泡正常发光,此时电流表示数如图乙所示,则小灯泡额定功率为____________W.
(3)小华在进行实验数据处理时,算出了小灯泡的平均功率(如下表),你认为这样处理数据是________(合理/不合理)的,理由:____________.
![]()
(4)下列描述小灯泡功率P随滑动变阻器阻值R变化情况的图像中,正确的是____________.
![]()
查看答案和解析>>
科目:初中物理 来源: 题型:
【题目】“珍爱生命、注意安全”是同学们日常生活中必须具有的意识,下列有关安全的说法,错误的是( )
![]()
A. 如果发生触电事故,应立即切断电源,然后施救
B. 雷雨天,人不能在高处打伞行走,否则可能会被雷击中
C. 使用验电笔时,手必须接触笔尾金属部分
D. 洗衣机、电冰箱、电脑等许多家用电器均使用三脚插头与三孔插座连接,如图所示,在没有三孔插座的情况下,可以把三脚插头上最长的插头去掉,插入二孔插座中使用用电器
查看答案和解析>>
科目:初中物理 来源: 题型:
【题目】如图所示,现在用一个滑轮组来提升水中的物体A.若物体的重力为1200N,体积为50dm3,物体A在水中被匀速提升时,拉力F是250N.求:
![]()
(1)滑轮组的机械效率为多大?
(2)如果动滑轮挂钩用钢丝绳与物体相连,当物体露出水面的体积为24dm3时,拉绳刚好断裂,滑轮组所拉绳索能承受的最大拉力为多少?(假设滑轮组机械效率不变)
查看答案和解析>>
科目:初中物理 来源: 题型:
【题目】如图所示,潜水艇悬浮在水中,下列说法错误的是
![]()
A. 潜水艇是靠改变浮力来实现浮沉的
B. 潜水艇悬浮时,其浮力等于重力
C. 要使潜水艇下沉,应向水舱充水
D. 要使潜水艇上浮,应把水舱内的水向外排出
查看答案和解析>>
湖北省互联网违法和不良信息举报平台 | 网上有害信息举报专区 | 电信诈骗举报专区 | 涉历史虚无主义有害信息举报专区 | 涉企侵权举报专区
违法和不良信息举报电话:027-86699610 举报邮箱:58377363@163.com