ÒÑÖª£ºÄ³Î¶Èʱ£¬Ksp(AgCl)£½c(Ag+)c(Cl£)£½1.8¡Á10£10
Ksp(Ag2CrO4)£½c(Ag+)c(
)£½1.1¡Á10£12
ÊÔÇó£º
(1)´ËζÈÏÂAgCl±¥ºÍÈÜÒººÍAg2CrO4±¥ºÍÈÜÒºµÄÎïÖʵÄÁ¿Å¨¶È£¬²¢±È½ÏÁ½ÕߵĴóС£®
(2)´ËζÈÏ£¬ÔÚ0.010 mol¡¤L£1µÄAgNO3ÈÜÒºÖУ¬AgClÓëAg2CrO4·Ö±ðÄÜ´ïµ½µÄ×î´óÎïÖʵÄÁ¿Å¨¶È£¬²¢±È½ÏÁ½ÕߵĴóС£®
|
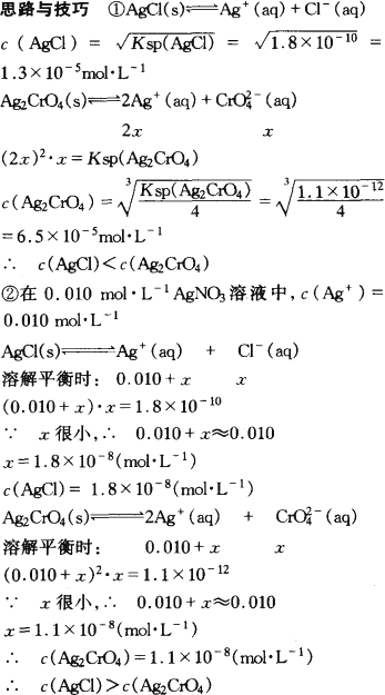
¡¡¡¡´ð°¸£º(1)´ËζÈÏÂAgCl±¥ºÍÈÜÒºµÄÎïÖʵÄÁ¿Å¨¶ÈΪ1.3¡Á10£5 mol¡¤L£1£¬Ag2CrO4±¥ºÍÈÜÒºµÄÎïÖʵÄÁ¿Å¨¶ÈΪ6.5¡Á10£5 mol¡¤L£1£¬Ag2CrO4µÄŨ¶È´ó; ¡¡¡¡(2)´ËζÈÏ£¬ÔÚ0.010 mol¡¤L£1µÄAgNO3ÈÜÒºÖУ¬AgClÓëAg2CrO4·Ö±ðÄÜ´ïµ½µÄ×î´óÎïÖʵÄÁ¿Å¨¶ÈÊÇ£º1.8¡Á10£8 mol¡¤L£1£¬1.1¡Á10£8 mol¡¤L£1£¬AgClµÄÈܽâ¶È´ó£® ¡¡¡¡ ¡¡¡¡ËµÃ÷£ºÍ¨¹ý±¾ÌâÀí½âÁ½µã£ºÒ»ÊDz»ÄÜÖ»¿´KspÀ´±È½ÏÄÑÈܵç½âÖʵÄÈܽâ¶È´óС£®Òª¿´ÊÇ·ñÊÇͬһÀàÐÍ£®¶þÊÇͬÀë×ÓЧӦ¶Ô²»Í¬ÀàÐ͵ÄÄÑÈÜÈܵç½âÖʵÄÓ°ÏìÊDz»ÏàͬµÄ£® |
| Äê¼¶ | ¸ßÖÐ¿Î³Ì | Äê¼¶ | ³õÖÐ¿Î³Ì |
| ¸ßÒ» | ¸ßÒ»Ãâ·Ñ¿Î³ÌÍÆ¼ö£¡ | ³õÒ» | ³õÒ»Ãâ·Ñ¿Î³ÌÍÆ¼ö£¡ |
| ¸ß¶þ | ¸ß¶þÃâ·Ñ¿Î³ÌÍÆ¼ö£¡ | ³õ¶þ | ³õ¶þÃâ·Ñ¿Î³ÌÍÆ¼ö£¡ |
| ¸ßÈý | ¸ßÈýÃâ·Ñ¿Î³ÌÍÆ¼ö£¡ | ³õÈý | ³õÈýÃâ·Ñ¿Î³ÌÍÆ¼ö£¡ |
¿ÆÄ¿£º¸ßÖл¯Ñ§ À´Ô´£º ÌâÐÍ£º
(1)´ËζÈÏÂAgCl±¥ºÍÈÜÒººÍAg2CrO4±¥ºÍÈÜÒºµÄÎïÖʵÄÁ¿Å¨¶È£¬²¢±È½ÏÁ½ÕߵĴóС¡£
(2)´ËζÈÏ£¬ÔÚ0.010 mol¡¤L-1µÄAgNO3ÈÜÒºÖУ¬AgClÓëAg2CrO4·Ö±ðÄÜ´ïµ½µÄ×î´óÎïÖʵÄÁ¿Å¨¶È£¬²¢±È½ÏÁ½ÕߵĴóС¡£
²é¿´´ð°¸ºÍ½âÎö>>
¿ÆÄ¿£º¸ßÖл¯Ñ§ À´Ô´£º ÌâÐÍ£º
Ò»¶¨Î¶ÈÏ£¬ÄÑÈܵç½âÖÊÔÚ±¥ºÍÈÜÒºÖи÷Àë×ÓŨ¶ÈÃݵij˻ýÊÇÒ»¸ö³£Êý£¬Õâ¸ö³£Êý³ÆÎª¸ÃÄÑÈܵç½âÖʵÄÈܶȻý£¬Ó÷ûºÅKsp±íʾ¡£
¼´£ºAmBn(s) mAn+(aq)£«nBm£(aq)¡¡¡¡¡¡¡¡[An+]m¡¤[Bm£]n£½Ksp
ÒÑÖª£ºÄ³Î¶Èʱ£¬Ksp(AgCl)=[Ag+][Cl£] £½1.8¡Á10£10
Ksp(Ag2CrO4)=[Ag+]2[CrO2- 4] £½1.1¡Á10£12¡¡
1.81/2=1.3 2751/3=6.5
ÊÔÇó£º
£¨1£©´ËζÈÏÂAgCl±¥ºÍÈÜÒººÍAg2CrO4±¥ºÍÈÜÒºµÄÎïÖʵÄÁ¿Å¨¶È£¬²¢±È½ÏÁ½ÕߵĴóС¡£
£¨2£©´ËζÈÏ£¬ÔÚ0.010mo1¡¤L-1µÄAgNO3ÈÜÒºÖУ¬AgClÓëAg2CrO4·Ö±ðÄÜ´ïµ½µÄ×î´óÎïÖʵÄÁ¿Å¨¶È£¬²¢±È½ÏÁ½ÕߵĴóС¡£
²é¿´´ð°¸ºÍ½âÎö>>
¿ÆÄ¿£º¸ßÖл¯Ñ§ À´Ô´£º2010-2011ѧÄêÁÉÄþʡʦ´ó¸½Öи߶þÏÂѧÆÚÆÚÖп¼ÊÔ»¯Ñ§ÊÔ¾í ÌâÐÍ£º¼ÆËãÌâ
Ò»¶¨Î¶ÈÏ£¬ÄÑÈܵç½âÖÊÔÚ±¥ºÍÈÜÒºÖи÷Àë×ÓŨ¶ÈÃݵij˻ýÊÇÒ»¸ö³£Êý£¬Õâ¸ö³£Êý³ÆÎª¸ÃÄÑÈܵç½âÖʵÄÈܶȻý£¬Ó÷ûºÅKsp±íʾ¡£
¼´£ºAmBn(s)
mAn+(aq)£«nBm£(aq)¡¡¡¡¡¡¡¡[An+]m¡¤[Bm£]n£½Ksp
ÒÑÖª£ºÄ³Î¶Èʱ£¬Ksp(AgCl)=[Ag+][Cl£] £½1.8¡Á10£10
Ksp(Ag2CrO4)=[Ag+]2[CrO2- 4] £½1.1¡Á10£12¡¡
1.81/2="1.3 " 2751/3=6.5
ÊÔÇó£º
£¨1£©´ËζÈÏÂAgCl±¥ºÍÈÜÒººÍAg2CrO4±¥ºÍÈÜÒºµÄÎïÖʵÄÁ¿Å¨¶È£¬²¢±È½ÏÁ½ÕߵĴóС¡£
£¨2£©´ËζÈÏ£¬ÔÚ0.010mo1¡¤L-1µÄAgNO3ÈÜÒºÖУ¬AgClÓëAg2CrO4·Ö±ðÄÜ´ïµ½µÄ×î´óÎïÖʵÄÁ¿Å¨¶È£¬²¢±È½ÏÁ½ÕߵĴóС¡£
²é¿´´ð°¸ºÍ½âÎö>>
¿ÆÄ¿£º¸ßÖл¯Ñ§ À´Ô´£º2013½ìºþÄÏÊ¡À¶É½¶þÖиßÈýµÚÎå´ÎÔ¿¼»¯Ñ§ÊÔ¾í£¨´ø½âÎö£© ÌâÐÍ£º¼ÆËãÌâ
Ò»¶¨Î¶ÈÏ£¬ÄÑÈܵç½âÖÊÔÚ±¥ºÍÈÜÒºÖи÷Àë×ÓŨ¶ÈÃݵij˻ýÊÇÒ»¸ö³£Êý£¬Õâ¸ö³£Êý³ÆÎª¸ÃÄÑÈܵç½âÖʵÄÈܶȻý£¬Ó÷ûºÅKsp±íʾ¡£
¼´£ºAmBn(s)
mAn+(aq)£«nBm£(aq)¡¡¡¡¡¡¡¡[An+]m¡¤[Bm£]n£½Ksp
ÒÑÖª£ºÄ³Î¶Èʱ£¬Ksp(AgCl)=[Ag+][Cl£] £½1.8¡Á10£10¡¡¡¡
Ksp(Ag2CrO4)=[Ag+]2[CrO2- 4] £½1.1¡Á10£12¡¡
ÊÔÇ󣺴ËζÈÏ£¬ÔÚ0.010mo1¡¤L-1µÄAgNO3ÈÜÒºÖУ¬AgClÓëAg2CrO4·Ö±ðÄÜ´ïµ½µÄ×î´óÎïÖʵÄÁ¿Å¨¶È¡£
²é¿´´ð°¸ºÍ½âÎö>>
¿ÆÄ¿£º¸ßÖл¯Ñ§ À´Ô´£º2012½ìÁÉÄþÊ¡¸ß¶þÏÂѧÆÚÆÚÖп¼ÊÔ»¯Ñ§ÊÔ¾í ÌâÐÍ£º¼ÆËãÌâ
Ò»¶¨Î¶ÈÏ£¬ÄÑÈܵç½âÖÊÔÚ±¥ºÍÈÜÒºÖи÷Àë×ÓŨ¶ÈÃݵij˻ýÊÇÒ»¸ö³£Êý£¬Õâ¸ö³£Êý³ÆÎª¸ÃÄÑÈܵç½âÖʵÄÈܶȻý£¬Ó÷ûºÅKsp±íʾ¡£
¼´£ºAmBn(s)
mAn+(aq)£«nBm£(aq)¡¡¡¡¡¡¡¡[An+]m¡¤[Bm£]n£½Ksp
ÒÑÖª£ºÄ³Î¶Èʱ£¬Ksp(AgCl)=[Ag+][Cl£] £½1.8¡Á10£10
Ksp(Ag2CrO4)=[Ag+]2[CrO2- 4] £½1.1¡Á10£12¡¡
1.81/2=1.3 2751/3=6.5
ÊÔÇó£º
£¨1£©´ËζÈÏÂAgCl±¥ºÍÈÜÒººÍAg2CrO4±¥ºÍÈÜÒºµÄÎïÖʵÄÁ¿Å¨¶È£¬²¢±È½ÏÁ½ÕߵĴóС¡£
£¨2£©´ËζÈÏ£¬ÔÚ0.010mo1¡¤L-1µÄAgNO3ÈÜÒºÖУ¬AgClÓëAg2CrO4·Ö±ðÄÜ´ïµ½µÄ×î´óÎïÖʵÄÁ¿Å¨¶È£¬²¢±È½ÏÁ½ÕߵĴóС¡£
²é¿´´ð°¸ºÍ½âÎö>>
¹ú¼ÊѧУÓÅÑ¡ - Á·Ï°²áÁбí - ÊÔÌâÁбí
ºþ±±Ê¡»¥ÁªÍøÎ¥·¨ºÍ²»Á¼ÐÅÏ¢¾Ù±¨Æ½Ì¨ | ÍøÉÏÓк¦ÐÅÏ¢¾Ù±¨×¨Çø | µçÐÅթƾٱ¨×¨Çø | ÉæÀúÊ·ÐéÎÞÖ÷ÒåÓк¦ÐÅÏ¢¾Ù±¨×¨Çø | ÉæÆóÇÖȨ¾Ù±¨×¨Çø
Î¥·¨ºÍ²»Á¼ÐÅÏ¢¾Ù±¨µç»°£º027-86699610 ¾Ù±¨ÓÊÏ䣺58377363@163.com