精英家教网 > 高中化学 > 题目详情
化学对人体健康和人类生活有着十分重要的作用.
①某同学患了夜盲症,可能的原因之一是他体内缺乏
维生素A
维生素A
;另一同学在刷牙时牙龈经常出血,他可能缺乏
维生素C
维生素C

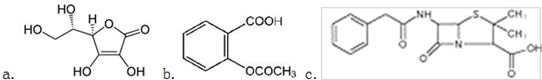
②乙酰水杨酸()的俗名为阿司匹林,是常用的
解热镇痛
解热镇痛
药.它遇水能缓慢地水解生成水杨酸,则水杨酸的结构简式可表为
分析:①患了夜盲症,体内缺少维生素A,牙龈经常出血缺少维生素C;
②阿司匹林用来治疗感冒,水解生成水杨酸含-COOH和酚-OH.
解答:解:①由维生素在人体中的作用可知,患了夜盲症,体内缺少维生素A,牙龈经常出血缺少维生素C,故答案为:维生素A;维生素C;
②阿司匹林用来治疗感冒,是常用的解热镇痛药,水解生成水杨酸含-COOH和酚-OH,水杨酸为,故答案为:解热镇痛;
点评:本题考查化学与生活,注重维生素及药物对人类健康的作用,侧重基础知识的考查,需要平时积累与生活有关的化学知识,题目难度不大.
练习册系列答案
相关习题

科目:高中化学 来源: 题型:

化学对人体健康和人类生活有着十分重要的作用.
①富含油脂的食品或配料是
 

a.橄榄油   b.精肉  c.米饭
②既可作防腐剂又可作肉类发色剂的是
 

a.苯甲酸钠  b.味精  c.亚硝酸钠
③含有下列成分的药物,具有“解热镇痛”功效的是
 

精英家教网

查看答案和解析>>

科目:高中化学 来源:2012-2013学年湖南省凤凰县华鑫中学高二下学期第一次月考化学试卷(带解析) 题型:填空题

(1) 化学对人体健康有着十分重要的作用。
①为提高人体素质, 食盐加碘、食物补碘已引起人们的重视。据报道, 人从食物中摄取碘后碘便在甲状腺中积存下来, 通过一系列化学反应可形成甲状腺素。加碘食盐中碘的存在形式主要是_______。
②某同学到了傍晚时就看不见东西,患了夜盲症,可能的原因之一是他体内缺乏_________,另一同学在刷牙时牙龈经常出血,他可能缺乏_____________。
③某校食堂中餐食谱如下:
主食:大米饭    配菜:红烧排骨 煎鸡蛋 炸鸡腿 豆腐汤 炒猪肝
主食和配菜中主要含维生素、__________、_________、__________、无机盐和水等营养素,考虑到各种营养成分的均衡搭配,应该增加含VC的配菜是_____________。
(2)材料是人类赖以生存的重要物质基础,而化学是材料科学发展的基础。材料种类很多,通常可分为金属材料、无机非金属材料(包括硅酸盐材料)、高分子合成材料及复合材料。
①生活中的玻璃、陶瓷、水泥属于上述材料中的               ,其生产原料不需要使用石灰石的是              。塑料制品给人类生活带来很多方便,但塑料制品造成的“白色污染”已成为社会一大公害,请你提出一项防治“白色污染”的有效措施                                                               
②金属腐蚀会造成巨大的经济损失,钢铁在潮湿的空气中更容易被腐蚀,主要原因是钢铁里的铁和碳构成许多微小的            ,发生电化学腐蚀。
(3)2010年第41届世博会在上海成功举办,其主题是“城市,让生活更美好”。低碳经济是以低能耗、低污染、低排放为基础的经济模式,上海世博会的亮点之一是实现“二氧化碳零排放”。
①世博停车场,安装有汽车尾气催化光解设施,它能将汽车尾气中CO和NOx反应生成可参与大气生态环境循环的无毒气体,写出CO和NO在一定条件下反应的化学方程式                                                
②合理利用二氧化碳,可以提高生活质量,促进工业发展。在常压下,-78℃时,二氧化碳气体凝结成固态二氧化碳,俗称干冰。某学生买回一盒冰淇淋月饼,盒里有很多作为致冷剂的碎干冰。下列关于干冰处理的正确做法是(      )    

A.将干冰放入冰箱B.让干冰在通风处自然升华
C.直接将干冰倒入下水道D.用手取干冰扔入废物箱
③现在人们使用乙醇汽油作为汽车燃料充分体现了低碳经济,物质的量相同的乙醇与汽油(设为C8H18)均完全燃烧产生的CO2的物质的量之比为                

查看答案和解析>>

科目:高中化学 来源:2014届湖南省高二下学期第一次月考化学试卷(解析版) 题型:填空题

(1) 化学对人体健康有着十分重要的作用。

①为提高人体素质, 食盐加碘、食物补碘已引起人们的重视。据报道, 人从食物中摄取碘后碘便在甲状腺中积存下来, 通过一系列化学反应可形成甲状腺素。加碘食盐中碘的存在形式主要是_______。

②某同学到了傍晚时就看不见东西,患了夜盲症,可能的原因之一是他体内缺乏_________,另一同学在刷牙时牙龈经常出血,他可能缺乏_____________。

③某校食堂中餐食谱如下:

主食:大米饭    配菜:红烧排骨 煎鸡蛋 炸鸡腿 豆腐汤 炒猪肝

主食和配菜中主要含维生素、__________、_________、__________、无机盐和水等营养素,考虑到各种营养成分的均衡搭配,应该增加含VC的配菜是_____________。

(2)材料是人类赖以生存的重要物质基础,而化学是材料科学发展的基础。材料种类很多,通常可分为金属材料、无机非金属材料(包括硅酸盐材料)、高分子合成材料及复合材料。

①生活中的玻璃、陶瓷、水泥属于上述材料中的               ,其生产原料不需要使用石灰石的是              。塑料制品给人类生活带来很多方便,但塑料制品造成的“白色污染”已成为社会一大公害,请你提出一项防治“白色污染”的有效措施                                                               

②金属腐蚀会造成巨大的经济损失,钢铁在潮湿的空气中更容易被腐蚀,主要原因是钢铁里的铁和碳构成许多微小的            ,发生电化学腐蚀。

(3)2010年第41届世博会在上海成功举办,其主题是“城市,让生活更美好”。低碳经济是以低能耗、低污染、低排放为基础的经济模式,上海世博会的亮点之一是实现“二氧化碳零排放”。

①世博停车场,安装有汽车尾气催化光解设施,它能将汽车尾气中CO和NOx反应生成可参与大气生态环境循环的无毒气体,写出CO和NO在一定条件下反应的化学方程式                                                

②合理利用二氧化碳,可以提高生活质量,促进工业发展。在常压下,-78℃时,二氧化碳气体凝结成固态二氧化碳,俗称干冰。某学生买回一盒冰淇淋月饼,盒里有很多作为致冷剂的碎干冰。下列关于干冰处理的正确做法是(      )    

A.将干冰放入冰箱                        B.让干冰在通风处自然升华

C.直接将干冰倒入下水道                  D.用手取干冰扔入废物箱

③现在人们使用乙醇汽油作为汽车燃料充分体现了低碳经济,物质的量相同的乙醇与汽油(设为C8H18)均完全燃烧产生的CO2的物质的量之比为                

 

查看答案和解析>>

科目:高中化学 来源: 题型:阅读理解

 (1) (7分) 化学对人体健康有着十分重要的作用。

①为提高人体素质, 食盐加碘、食物补碘已引起人们的重视。据报道, 人从食物中摄取碘后碘便在甲状腺中积存下来, 通过一系列化学反应可形成甲状腺素。加碘食盐中碘的存在形式主要是__   _______。

②某同学到了傍晚时就看不见东西,患了夜盲症,可能的原因之一是他体内缺乏_________,另一同学在刷牙时牙龈经常出血,他可能缺乏_____________。

③某校食堂中餐食谱如下:

主食:大米饭     配菜:红烧排骨  煎鸡蛋  炸鸡腿  豆腐汤  炒猪肝

主食和配菜中主要含维生素、__________、_________、__________、无机盐和水等营养素,考虑到各种营养成分的均衡搭配,应该增加含VC的配菜是_____________。

(2)(4分)材料是人类赖以生存的重要物质基础,而化学是材料科学发展的基础。材料种类很多,通常可分为金属材料、无机非金属材料(包括硅酸盐材料)、高分子合成材料及复合材料。

①生活中的玻璃、陶瓷、水泥属于上述材料中的                ,其生产原料不需要使用石灰石的是               。塑料制品给人类生活带来很多方便,但塑料制品造成的“白色污染”已成为社会一大公害,请你提出一项防治“白色污染”的有效措施

                                                               

②金属腐蚀会造成巨大的经济损失,钢铁在潮湿的空气中更容易被腐蚀,主要原因是钢铁里的铁和碳构成许多微小的             ,发生电化学腐蚀。

(3)(4分)2010年第41届世博会在上海成功举办,其主题是“城市,让生活更美好”。低碳经济是以低能耗、低污染、低排放为基础的经济模式,上海世博会的亮点之一是实现二氧化碳零排放

①世博停车场,安装有汽车尾气催化光解设施,它能将汽车尾气中CO和NOx反应生成可参与大气生态环境循环的无毒气体,写出CO和NO在一定条件下反应的化学方程式                                                 

②合理利用二氧化碳,可以提高生活质量,促进工业发展。在常压下,-78℃时,二氧化碳气体凝结成固态二氧化碳,俗称干冰。某学生买回一盒冰淇淋月饼,盒里有很多作为致冷剂的碎干冰。下列关于干冰处理的正确做法是(       )    

A. 将干冰放入冰箱                    B. 让干冰在通风处自然升华

C. 直接将干冰倒入下水道              D. 用手取干冰扔入废物箱

③现在人们使用乙醇汽油作为汽车燃料充分体现了低碳经济,物质的量相同的乙醇与汽油(设为C8H18)均完全燃烧产生的CO2的物质的量之比为                 

查看答案和解析>>

同步练习册答案