精英家教网 > 高中化学 > 题目详情

现有NH3、Na、Al3、O2  微粒,其中质子总数最多的是_______,带正电荷数最多的是_____,电子总数最多的是_______,原子核数最多的是__________.

练习册系列答案
相关习题

科目:高中化学 来源: 题型:

(2012?武汉模拟)现有NH3、F2、Cl2、Na、Fe、Na2O、Na2O2、SO2、CO2、NO2等中学化学常见物质,根据他们与水是否发生氧化还原反应进行分类.

请回答下列问题:
(1)图中所示的分类方法叫
树状分类法
树状分类法

(2)淡黄色固体位于
E
E
组(填“A~E”),1mol它与水反应转移电子
1
1
mol;
(3)用电离方程式表示 A 组中溶解度较小的物质其水溶液呈弱酸性的原因
H2CO3?HCO3-+H+
H2CO3?HCO3-+H+

(4)C组中某一物质须在加热时才能与水蒸汽反应,其化学方程式为
4H2O(g)+3Fe
  △  
.
 
Fe3O4+4H2
4H2O(g)+3Fe
  △  
.
 
Fe3O4+4H2

(5)E 组中某气体与B组中某气体反应有单质生成,其化学方程式为
2NH3+Cl2═N2+6HCl(或8NH3+3Cl2═N2+6NH4Cl; 8NH3+6NO2═7N2+12H2O ).
2NH3+Cl2═N2+6HCl(或8NH3+3Cl2═N2+6NH4Cl; 8NH3+6NO2═7N2+12H2O ).

查看答案和解析>>

科目:高中化学 来源:安徽省省城名校2012届高三上学期第四次联考化学试题 题型:013

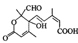
某有机物的分子结构如图:.现有试剂:①Na;②H2/Ni;③Ag(NH3)2OH;④新制Cu(OH)2;⑤NaOH;⑥KMnO4酸性溶液.能与该化合物中二个或二个以上官能团都发生反应的试剂有

[  ]

A.

①②⑤⑥

B.

①②④⑥

C.

①③④⑤

D.

全部

查看答案和解析>>

科目:高中化学 来源:2011-2012学年安徽省省城名校高三第四次联考化学试卷 题型:选择题

某有机物的分子结构如图:。现有试剂:①Na;②H2/Ni;③Ag(NH3)2OH;④新制Cu(OH)2;⑤NaOH;⑥KMnO4酸性溶液。能与该化合物中二个或二个以上官能团都发生反应的试剂有(    )

       A.①②⑤⑥               B.①②④⑥               C.①③④⑤               D.全部

 

查看答案和解析>>

科目:高中化学 来源: 题型:

某有机物的分子结构如图:。现有试剂:①Na;②H2/Ni;③Ag(NH3)2OH;④新制Cu(OH)2;⑤NaOH;⑥KMnO4酸性溶液。能与该化合物中二个或二个以上官能团都发生反应的试剂有(   )

       A.①②⑤⑥               B.①②④⑥               C.①③④⑤               D.全部

 

查看答案和解析>>

科目:高中化学 来源:2012届安徽省省城名校高三第四次联考化学试卷 题型:单选题

某有机物的分子结构如图:。现有试剂:①Na;②H2/Ni;③Ag(NH3)2OH;④新制Cu(OH)2;⑤NaOH;⑥KMnO4酸性溶液。能与该化合物中二个或二个以上官能团都发生反应的试剂有(   )

A.①②⑤⑥B.①②④⑥C.①③④⑤D.全部

查看答案和解析>>

同步练习册答案