精英家教网 > 高中化学 > 题目详情

0.1 mol某烃与过量的氧气混合,充分燃烧后,将生成物全部通过足量的Na2O2固体.固体增重23.4 g.从Na2O2中逸出的气体,在标准状况下体积为24.64 L

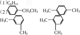
(1)求该烃的分子式.

(2)若该烃能使高锰酸钾酸性溶液褪色,但不能使溴水褪色.请写出该烃可能的结构简式.

答案:
解析:

  答案:

  

  讲析:

  


练习册系列答案
相关习题

科目:高中化学 来源: 题型:

0.1 mol 某烃与1.5 mol过量氧气混合,充分燃烧后,将生成物全部通过足量的Na2O2固体,固体增重23.4 g。从Na2O2中逸出标准状况下24.64 L气体。

(1)求该烃的分子式。

(2)又知该烃能使KMnO4酸性溶液褪色,但不能使溴水褪色,写出该烃可能的结构简式。

查看答案和解析>>

科目:高中化学 来源: 题型:

0.1 mol某烃与20 L(标准状况)过量的O2在一定条件下完全反应,将反应后高温下的气体混合物通过过量的Na2O2粉末,使之完全反应。反应后称得固体粉末增重15 g,并最后得到14.4 L(标准状况)气体。

(1)求该烃的分子式。

(2)该烃可以使Br2的CCl4溶液褪色,而且没有支链。请写出该烃所有可能的结构简式。

查看答案和解析>>

科目:高中化学 来源: 题型:

标准状况下,0.1 mol某烃与1 mol O2(过量)混合,完全燃烧后通过Na2O2(过量)固体,固体质量增加15 g,从Na2O2中逸出的全部气体,在标准状况下为16.8 L,则该烃的分子式为(    )

A.C3H8                B.C4H10                 C.C5H10            D.C6H6

查看答案和解析>>

科目:高中化学 来源: 题型:

0.1 mol 某烃与1.5 mol过量氧气混合,充分燃烧后,将生成物全部通过足量的Na2O2固体,固体增重23.4 g。从Na2O2中逸出标准状况下24.64 L气体。

(1)求该烃的分子式。

查看答案和解析>>

同步练习册答案