精英家教网 > 高中化学 > 题目详情
溶质质量分数为98%的浓硫酸(ρ=1.84g/mL),其物质的量浓度为18.4mol/L,取10mL该硫酸与a mL水混合,配制成溶质质量分数为49%的硫酸(ρ=1.40g/mL),其物质的量浓度为b mol/L,则a、b分别为( )
A.a>10,b<9.2
B.a<10,b>9.2
C.a=10,b=9.2
D.a>10,b=9.2
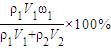
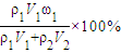
【答案】分析:根据ω=判断水的体积;根据C=mol/L确定两物质的量浓度之间的关系..
解答:解:设98%浓硫酸的密度是ρ1,体积为V1,物质的量浓度为C1,浓硫酸的质量分数是ω1,水的密度是ρ2,体积是V2,49%的硫酸的溶液的密度是ρ3,稀硫酸的质量分数是ω2
稀硫酸的质量分数ω2==,a=18.8mL>10mL;
稀硫酸的物质的量浓度b=mol/L==7mol/L<9.2.
故选A.
点评:本题考查溶液浓度的计算和大小比较,题目难度较大,注意硫酸的浓度越大,密度越大.
练习册系列答案
相关习题

科目:高中化学 来源: 题型:

实验室里用溶质质量分数为98%的浓硫酸(密度是1.84g/cm3)配制0.5mol/L的稀硫酸500mL,实验时量取浓硫酸的体积是多少?

查看答案和解析>>

科目:高中化学 来源: 题型:

溶质质量分数为98%的浓硫酸(ρ=1.84g/mL),其物质的量浓度为18.4mol/L,取10mL该硫酸与a mL水混合,配制成溶质质量分数为49%的硫酸(ρ=1.40g/mL),其物质的量浓度为b mol/L,则a、b分别为(  )

查看答案和解析>>

科目:高中化学 来源: 题型:阅读理解

实验室用密度为1.84g/cm3、溶质质量分数为98%的浓硫酸来配制250mL 1.0mol/l 的稀硫酸,
请回答下列问题:
(1)配制250mL 1.0mol/L的硫酸溶液需浓硫酸
13.6
13.6
ml.
(2)选用的量筒的规格应是
20
20
ml.
(3)配制时,其正确的操作顺序是(用字母表示)
BCAFED
BCAFED

A.用30mL水洗涤烧杯2-3次,洗涤液均注入容量瓶,振荡
B.先加入少量水(约70mL)倒入烧杯中,用玻璃棒慢慢搅动再用量筒准确量取所需的一定体积的浓硫酸,缓缓倒入烧杯中,并且不断
搅拌
搅拌
(填操作名称),使其混合均匀;
C.将已冷却的硫酸沿玻璃棒注入
250mL
250mL
中,
D.将容量瓶盖紧,振荡,摇匀;
E.改用胶头滴管加水,使溶液凹面恰好与刻度相切
F.继续往容量瓶内小心加水,直到液面接近刻度1-2cm处
(4)操作A中,将洗涤液都移入容量瓶,其目的是
洗涤液中的硫酸移入容量瓶中,以减少误差
洗涤液中的硫酸移入容量瓶中,以减少误差
,溶液注入容量瓶前需恢复到室温,这是因为
浓硫酸稀释,放出大量的热,会影响溶液体积,造成实验误差
浓硫酸稀释,放出大量的热,会影响溶液体积,造成实验误差

(5)若出现如下情况,对所配溶液浓度将有何影响(填“偏高”、“偏低”或“无影响”)?若加蒸馏水时不慎超过了刻度线
偏低
偏低
;若定容时俯视刻度线
偏高
偏高
,若量取浓硫酸时仰视量筒
偏高
偏高

(6)若实验过程中出现如下情况如何处理?
向容量瓶中转移溶液时(实验步骤②)不慎有液滴掉在容量瓶外面
应宣告实验失败,洗净容量瓶后重新配制
应宣告实验失败,洗净容量瓶后重新配制

查看答案和解析>>

科目:高中化学 来源: 题型:

已知18.4 mol·L-1的H2SO4溶液的溶质质量分数为98%,那么9.2 mol·L-1的H2SO4溶液的溶质质量分数将(    )

A.大于49%              B.等于49%              C.小于49%             D.无法确定

查看答案和解析>>

科目:高中化学 来源:2011-2012学年河北省高三第二次综合考试化学试卷(解析版) 题型:选择题

溶质质量分数为98%的浓硫酸(ρ=1.84g/mL),其物质的量浓度为18.4mol/L,取10mL该硫酸与amL水混合,配制成溶质质量分数为49%的硫酸(ρ=1.40g/mL),其物质的量浓度为bmol/L,则a、b分别为(    )

A. a>10  b<9.2       B. a<10  b>9.2   

C. a=10  b=9.2       D. a>10  b=9.2 

 

查看答案和解析>>

同步练习册答案