精英家教网 > 高中化学 > 题目详情
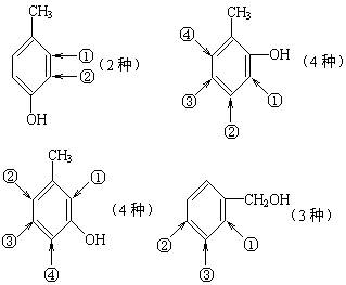
下列化合物苯环上的一个氢原子被溴原子取代后所得一溴代物有4种同分异构体是( )

 

答案:BC
解析:

5四种物质苯环上的一溴代物数目及位置分别为:

 


练习册系列答案
相关习题

科目:高中化学 来源: 题型:

某含苯环的芳香族化合物的分子式为C8H6O2,其1H核磁共振谱图有2组特征峰,下列该化合物说法中,正确的是(  )

查看答案和解析>>

科目:高中化学 来源: 题型:021

下列化合物苯环上的一个氢原子被溴原子取代后所得一溴代物有4种同分异构体是( )

 

查看答案和解析>>

科目:高中化学 来源: 题型:

下列化合物苯环上的氢原子被溴原子取代后得一溴代物有3种同分异构体的是(    )

查看答案和解析>>

科目:高中化学 来源: 题型:

下列化合物苯环上的氢原子被溴原子取代后得一溴代物有3种同分异构体的是(    )

查看答案和解析>>

科目:高中化学 来源: 题型:

某含苯环的芳香族化合物的分子式为C8H6O2,其1H核磁共振谱图有2组特征峰,下列该化合物说法中,正确的是

A .分子结构中可能含有碳碳双键       B. 分子结中可能含有羧基

C.该化合物苯环上的一氯代物有2种    D 存在遇氯化铁溶液显紫色芳香族同分异构体

查看答案和解析>>

同步练习册答案