(10·Ö)¶ÌÖÜÆÚÔªËØµÄµ¥ÖÊX¡¢Y¡¢ZÔÚͨ³£×´¿öϾùÎªÆøÌ¬£¬²¢ÓÐÏÂÁÐת»¯¹ØÏµ(·´Ó¦Ìõ¼þÂÔÈ¥)£º

ÒÑÖª£ºa. ³£¼û˫ԭ×Óµ¥ÖÊ·Ö×ÓÖУ¬X·Ö×Óº¬¹²Óõç×Ó¶ÔÊýÄ¿×î¶à¡£
b. ¼×·Ö×Óº¬10¸öµç×Ó£¬ÒÒ·Ö×Óº¬18¸öµç×Ó¡£
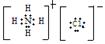
(1)XµÄ½á¹¹Ê½£º               £»±ûµÄµç×Óʽ£º           
(2)ʵÑéÊÒ¿ÉÓÃÏÂͼËùʾװÖÃ(ȱÉÙÊÕ¼¯×°Ö㬼г̶ֹ¨×°ÖÃÂÔÈ¥)ÖÆ±¸²¢ÊÕ¼¯¼×¡£

¢ÙÔÚÓÒͼÖз½¿òÄÚ»æ³öÓÃÉÕÆ¿ÊÕ¼¯¼×µÄÒÇÆ÷×°Öüòͼ¡£
¢ÚÊÔ¹ÜÖз¢Éú·´Ó¦µÄ»¯Ñ§·½³ÌʽÊÇ£º                                 
¢ÛÉÕ±­ÖÐÈÜÒºÓÉÎÞÉ«±äΪºìÉ«£¬ÆäÔ­ÒòÊÇ£º(ÓõçÀë·½³Ìʽ±íʾ)                    


(1) £»                        
£¨2£©¢Ù            
¢Ú2NH4Cl+Ca(OH)2 CaCl2+2NH3¡ü+2H2
¢ÛNH3¡¤H2ONH4++OH£­

½âÎö

Á·Ï°²áϵÁдð°¸
Ïà¹ØÏ°Ìâ

¿ÆÄ¿£º¸ßÖл¯Ñ§ À´Ô´£º2011-2012ѧÄêÕã½­Ê¡º¼ÖÝÊÐÏôɽÎåУ¸ßÒ»ÏÂѧÆÚÆÚÖÐÁª¿¼»¯Ñ§ÊÔ¾í£¨´ø½âÎö£© ÌâÐÍ£ºÌî¿ÕÌâ

£¨±¾Ìâ¹²10·Ö£©¶ÌÖÜÆÚÔªËØµÄµ¥ÖÊX¡¢Y¡¢ZÔÚͨ³£×´¿öϾùÎªÆøÌ¬£¬²¢ÓÐÏÂÁÐת»¯¹ØÏµ£¨·´Ó¦Ìõ¼þÂÔÈ¥£©£º

ÒÑÖª£ºa£º³£¼û˫ԭ×Óµ¥ÖÊ·Ö×ÓÖУ¬X·Ö×Óº¬¹²¼Û¼ü×î¶à¡£
b£º¼×·Ö×ÓÖк¬10¸öµç×Ó£¬ÒÒ·Ö×ÓÖк¬ÓÐ18¸öµç×Ó¡£
£¨1£©XµÄ½á¹¹Ê½ÊÇ                ¡£
£¨2£©ÊµÑéÊÒ¿ÉÓÃÏÂͼËùʾװÖã¨È±ÉÙÊÕ¼¯×°Ö㬼г̶ֹ¨×°ÖÃÂÔÈ¥£©ÖƱ¸ÊÕ¼¯¼×¡£

¢ÙÔÚͼÖз½¿òÄÚ»æ³öÓÃÉÕÆ¿ÊÕ¼¯¼×µÄÒÇÆ÷×°Öüòͼ¡£      
¢ÚÊÔ¹ÜÖеÄÊÔ¼ÁÊÇ£¨Ìѧʽ£©              
¢ÛÉÕ±­ÖÐÈÜÒºÓÉÎÞÉ«±äΪºìÉ«£¬ÆäÔ­ÒòÊÇ£¨ÓõçÀë·½³Ìʽ±íʾ£©
                                                                  ¡£
¢Üд³ö¹¤ÒµÖƼ׵Ļ¯Ñ§·½³Ìʽ                                        ¡£

²é¿´´ð°¸ºÍ½âÎö>>

¿ÆÄ¿£º¸ßÖл¯Ñ§ À´Ô´£º2014½ìÕã½­Ê¡º¼ÖÝÊÐÏôɽÎåУ¸ßÒ»ÏÂѧÆÚÆÚÖÐÁª¿¼»¯Ñ§ÊÔ¾í£¨½âÎö°æ£© ÌâÐÍ£ºÌî¿ÕÌâ

£¨±¾Ìâ¹²10·Ö£©¶ÌÖÜÆÚÔªËØµÄµ¥ÖÊX¡¢Y¡¢ZÔÚͨ³£×´¿öϾùÎªÆøÌ¬£¬²¢ÓÐÏÂÁÐת»¯¹ØÏµ£¨·´Ó¦Ìõ¼þÂÔÈ¥£©£º

ÒÑÖª£ºa£º³£¼û˫ԭ×Óµ¥ÖÊ·Ö×ÓÖУ¬X·Ö×Óº¬¹²¼Û¼ü×î¶à¡£

 b£º¼×·Ö×ÓÖк¬10¸öµç×Ó£¬ÒÒ·Ö×ÓÖк¬ÓÐ18¸öµç×Ó¡£

£¨1£©XµÄ½á¹¹Ê½ÊÇ                 ¡£

£¨2£©ÊµÑéÊÒ¿ÉÓÃÏÂͼËùʾװÖã¨È±ÉÙÊÕ¼¯×°Ö㬼г̶ֹ¨×°ÖÃÂÔÈ¥£©ÖƱ¸ÊÕ¼¯¼×¡£

¢ÙÔÚͼÖз½¿òÄÚ»æ³öÓÃÉÕÆ¿ÊÕ¼¯¼×µÄÒÇÆ÷×°Öüòͼ¡£      

¢Ú ÊÔ¹ÜÖеÄÊÔ¼ÁÊÇ£¨Ìѧʽ£©              

¢ÛÉÕ±­ÖÐÈÜÒºÓÉÎÞÉ«±äΪºìÉ«£¬ÆäÔ­ÒòÊÇ£¨ÓõçÀë·½³Ìʽ±íʾ£©

                                                                   ¡£

¢Üд³ö¹¤ÒµÖƼ׵Ļ¯Ñ§·½³Ìʽ                                         ¡£

 

²é¿´´ð°¸ºÍ½âÎö>>

¿ÆÄ¿£º¸ßÖл¯Ñ§ À´Ô´£º2011-2012ѧÄêºÓÄÏʡ֣ÖÝÊиßÈýÉÏѧÆÚÆÚÖп¼ÊÔ»¯Ñ§ÊÔ¾í ÌâÐÍ£ºÌî¿ÕÌâ

(10·Ö)ÓɶÌÖÜÆÚÔªËØ×é³ÉµÄµ¥ÖÊA¡¢B¡¢CºÍ¼×¡¢ÒÒ¡¢±û¡¢¶¡ËÄÖÖ»¯ºÏÎïÓÐÏÂͼËùʾµÄת»¯¹ØÏµ£¬ÒÑÖªCÊÇÃܶÈ×îСµÄÆøÌ壬¼×Êǵç½âÖÊ¡£

¸ù¾Ýͼʾת»¯¹ØÏµ»Ø´ð£º

(1)д³öÏÂÁÐÎïÖʵĻ¯Ñ§Ê½£º

A________£¬B________£¬ÒÒ________£¬¶¡________¡£

(2)×é³Éµ¥ÖÊAµÄÔªËØÔÚÖÜÆÚ±íÖеÄλÖÃÊÇ_____________£¬±ûµÄµç×ÓʽÊÇ     

 (3)д³öÏÂÁб仯µÄ·½³Ìʽ£º

¢ÙAÓëNaOHÈÜÒº·´Ó¦µÄ»¯Ñ§·½³Ìʽ£º__________________________________________

¢ÚÒÒÓë¹ýÁ¿CO2·´Ó¦µÄÀë×Ó·½³Ìʽ£º__________________________________________¡£

 

²é¿´´ð°¸ºÍ½âÎö>>

¿ÆÄ¿£º¸ßÖл¯Ñ§ À´Ô´£º2013½ì¸£½¨Ê¡¸ßÒ»ÏÂѧÆÚÆÚÖп¼ÊÔ»¯Ñ§ÊÔ¾í ÌâÐÍ£ºÌî¿ÕÌâ

(10·Ö)ÔÚ¶ÌÖÜÆÚÔªËØÖУº¢Ù½ðÊôÐÔ×îÇ¿µÄÔªËØÊÇ______£¬ÓëË®·´Ó¦×î¾çÁҵķǽðÊôÊÇ_____£»¢ÚµØ¿ÇÖк¬Á¿×î·á¸»µÄÔªËØÎ»ÓÚµÚ________ÖÜÆÚµÚ________×壬µØ¿ÇÖк¬Á¿×î¶àµÄ½ðÊôÔªËØÎ»ÓÚÖÜÆÚ±íµÄµÚ________ÖÜÆÚµÚ________×壮

ÔÚ11¡«18ºÅµÄÔªËØÖУ¬¢ÛÔ­×Ó°ë¾¶×îСµÄÔªËØÊÇ________£¬ÑôÀë×Ó°ë¾¶×îСµÄÊÇ________£¬ÒõÀë×Ó°ë¾¶×îСµÄÊÇ________£¬¢ÜÔªËØ×î¸ß¼ÛÑõ»¯ÎïÖмÈÄÜÓëÑÎËá·´Ó¦ÓÖÄÜÓëÉռӦ£¬¸ÃÑõ»¯ÎïÊÇ________£®

 

²é¿´´ð°¸ºÍ½âÎö>>

¿ÆÄ¿£º¸ßÖл¯Ñ§ À´Ô´£º2012½ìºÓÄÏʡ֣ÖÝÊÐËÄÊ®ÆßÖиßÈýÉÏѧÆÚÆÚÖп¼ÊÔ»¯Ñ§ÊÔ¾í ÌâÐÍ£ºÌî¿ÕÌâ

(10·Ö)ÓɶÌÖÜÆÚÔªËØ×é³ÉµÄµ¥ÖÊA¡¢B¡¢CºÍ¼×¡¢ÒÒ¡¢±û¡¢¶¡ËÄÖÖ»¯ºÏÎïÓÐÏÂͼËùʾµÄת»¯¹ØÏµ£¬ÒÑÖªCÊÇÃܶÈ×îСµÄÆøÌ壬¼×Êǵç½âÖÊ¡£

¸ù¾Ýͼʾת»¯¹ØÏµ»Ø´ð£º
(1)д³öÏÂÁÐÎïÖʵĻ¯Ñ§Ê½£º
A________£¬B________£¬ÒÒ________£¬¶¡________¡£
(2)×é³Éµ¥ÖÊAµÄÔªËØÔÚÖÜÆÚ±íÖеÄλÖÃÊÇ_____________£¬±ûµÄµç×ÓʽÊÇ     
(3)д³öÏÂÁб仯µÄ·½³Ìʽ£º
¢ÙAÓëNaOHÈÜÒº·´Ó¦µÄ»¯Ñ§·½³Ìʽ£º__________________________________________
¢ÚÒÒÓë¹ýÁ¿CO2·´Ó¦µÄÀë×Ó·½³Ìʽ£º__________________________________________¡£

²é¿´´ð°¸ºÍ½âÎö>>

ͬ²½Á·Ï°²á´ð°¸