精英家教网 > 高中化学 > 题目详情

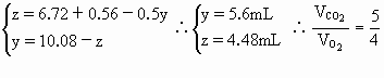
在标准状况下,将的混合气体10.08mL,先通过足量的充分反应后,将余下气体缓缓通入一倒扣在水中盛有8.96mL NO的试管中,当气体通完后,试管内剩余0.56mL无色气体.求混合气中的体积比.

答案:
解析:

设与NO反应的的体积为x,混和气中体积为y,的体积为z.

(1)设NO与反应时NO过量

(2)设NO与反应时过量


练习册系列答案
相关习题

科目:高中化学 来源:高中化学习题 题型:022

在标准状况下,将的混合气体点燃,反应后恢复到原状况,发现反应后所得气体总体积V(总)随混合气体中所占的体积的变化而不同,其关系如下图(气体的体积均在同温、同压下测定).试回答下列问题:

 (1)从图像分析可知:

  ①当V(总)=80mL时,反应后气体成分可能为________;(只填化学式,下同)

  ②当V(总)=40mL时,反应后气体成分可能为________

  ③当V(总)=20mL时,反应后气体成分可能为________

 (2)写出坐标点两处反应的总化学方程式:________________

 (3)用含V(总)和的函数式表示V(总)和的关系________

查看答案和解析>>

科目:高中化学 来源:高中化学习题 题型:038

在标准状况下,将的混合气,缓慢通过足量并充分反应,通入倒扣在水中充有17.92mLNO的量筒中,反应完毕,量筒内剩余气体体积为0.56mL.计算原混合气的可能组成.

查看答案和解析>>

科目:高中化学 来源: 题型:013

在标准状况下,将按1∶4体积比充满一干燥的烧瓶,将烧瓶倒置于水中,瓶内液面逐渐上升,最后烧瓶内溶液的物质的量浓度是

[  ]

A.0.45mol/L
B.0.36mol/L
C.0.26mol/L
D.0.28mol/L

查看答案和解析>>

科目:高中化学 来源: 题型:013

在标准状况下,将按1∶4的体积比充满干燥烧瓶,把烧瓶倒置于水中,瓶内液体逐渐上升,假设烧瓶内溶液不散,最终烧瓶内溶液里溶质的物质的量浓度为

[  ]

A.
B.
C.
D.

查看答案和解析>>

同步练习册答案