精英家教网 > 高中化学 > 题目详情

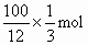
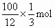
(2004·广东)100g碳粉燃烧所得气体中,CO占体积,且 ΔH=-110.35kJ/mol,

 ΔH=-282.57kJ/mol与这些碳完全燃烧相比较,损失的热量是

[  ]

A.392.92kJ
B.2489.44kJ
C.784.92kJ
D.3274.3kJ
答案:C
解析:

解析:100g碳粉不完全燃烧时产生CO,因为碳完全燃烧可分两步,先生成CO同时放热,CO再生成再放热,总热量即为完全燃烧时放出的热.因此与100g碳完全燃烧相比,损失的热量即为CO燃烧放出的热,设为x


练习册系列答案
相关习题

科目:高中化学 来源:物理教研室 题型:022

2004,广东,24

1)具有支链的化合物A的分子式为C4H6O2A可以使Br2的四氯化碳溶液褪色。1molA1molNaHCO3能完全反应,则A的结构简式是________。写出与A具有相同官能团的A的所有同分异构体的结构简式________

2)化合物B含有CHO三种元素,分子量为60,其中碳的质量分数为60%,氢的质量分数为13.3%B在催化剂Cu的作用下被氧化成CC能发生银镜反应,则B的结构简式是________

3DNaOH水溶液中加热反应,可生成A的钠盐和B,相应反应的化学方程式是________

 

查看答案和解析>>

科目:高中化学 来源: 题型:022

2004,广东,24

1)具有支链的化合物A的分子式为C4H6O2A可以使Br2的四氯化碳溶液褪色。1molA1molNaHCO3能完全反应,则A的结构简式是________。写出与A具有相同官能团的A的所有同分异构体的结构简式________

2)化合物B含有CHO三种元素,分子量为60,其中碳的质量分数为60%,氢的质量分数为13.3%B在催化剂Cu的作用下被氧化成CC能发生银镜反应,则B的结构简式是________

3DNaOH水溶液中加热反应,可生成A的钠盐和B,相应反应的化学方程式是________

 

查看答案和解析>>

科目:高中化学 来源: 题型:022

(2004·广东)溶液中含少量杂质,为制备晶体,拟定实验步骤如下(已知:有还原性,有氧化性):

请回答下列问题:

(1)最适宜的氧化剂是

[  ]

A.
B.
C.
D.

(2)物质Y是________;

(3)除去的有关化学方程式是________________________________;

(4)为了防止水解,要得到,还应控制的一定条件是_______

_________________________.

查看答案和解析>>

科目:高中化学 来源: 题型:022

(2004·广东)在一定温度下,冰醋酸加水稀释过程中,溶液的导电能力I随加入水的体积V变化的曲线如图所示,请回答:

(1)“O”点导电能力为0的理由是________;

(2)a、b、c三点处,溶液的pH由小到大的顺序为________;

(3)a、b、c三点处,电离程度最大的是________;

(4)若使c点溶液中增大,溶液减小,可采取的措施是:①________;②________;③________.

查看答案和解析>>

科目:高中化学 来源: 题型:阅读理解

美国2004年向中国出口的垃圾和废料的价值估计有12亿美元,而根据美国商务部(Commerce Department)的数据,5年前这个数字还只有1.94亿美元。垃圾目前是美国对中国的第三大出口品,仅排在飞机和半导体之后,超过大豆和电脑。然而,来自美国的垃圾绝不仅仅是来自天堂的礼物。在为中国的工业化提供重要原料和动力的同时,来自美国的电子垃圾的入侵正在给中国广东省的部分区域带来一场生态和人文灾难。贵屿是广东最大的废旧电器“回收”集散地。当一台电脑被运到贵屿后,先被拆开。金属和塑料外壳被送去重新融化;所有的电线被集中在一起,将外皮燃烧掉得到铜线。人们用榔头敲下显像管管颈上的偏转线圈,得到金属铜。剩下的玻璃壳随意丢弃。拆下电路板上的电子元件,好一点的元件经过“翻新”重新出售;焊锡也被收集起来。然后把成堆的集成电路芯片投入王水中,从中提取出微量的金。电路板最后也要投入到酸溶液中,溶解掉上面的铜 。所用的废酸液不经过任何处理就排入了当地的河中。

(1)以上处理过程会对大气造成污染,电线外皮燃烧、玻璃纤维基板被烧毁都会产生的剧毒物质有________。

(2)显像管含有大量的________等重金属,大量无机酸________进入水及土壤,有毒物质渗入地下、严重污染了水源。使土壤、水源失去了利用价值。

(3)简述上述做法的主要危害是________________________________________________。

查看答案和解析>>

同步练习册答案