精英家教网 > 高中化学 > 题目详情

“对氨基苯甲酸丁酯”是防晒霜中能吸收紫外线的防晒剂。下列关于“对氨基苯甲酸丁酯”的说法正确的是(  )

A.从有机物分类看,它可属于“氨基酸类”“酯类”“芳香烃类”
B.它能与盐酸反应,但不能与苛性钠溶液反应
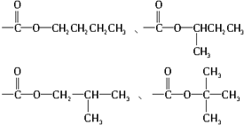
C.甲酸丁酯基(—COOC4H9)有3种不同结构
D.它的分子式为C11H15NO2

D

解析试题分析:对氨基苯甲酸丁酯的结构式为,故A项错误;B项它既能与盐酸反应(—NH2)又能与NaOH反应(酯类水解),C项甲酸丁酯基(—COOC4H9)的结构可能有四种不同结构,答案选D。
考点:考查有机物的分离、结构和性质以及同分异构体的判断
点评:该题是中等难度的试题,也是高考中的常见题型。试题基础性强,难易适中,在注重对学生基础知识考查和训练的同时,侧重对学生解题方法和技巧的培养。有助于培养学生的逻辑推理能力和抽象思维能力,提高学生的学习效率。

练习册系列答案
相关习题

科目:高中化学 来源: 题型:

“对氨基苯甲酸丁酯”是防晒霜中能吸收紫外线的防晒剂.下列关于“对氨基苯甲酸丁酯”的说法正确的是(  )

查看答案和解析>>

科目:高中化学 来源: 题型:

下列说法错误的是

A.某溶液中加入铝片有氢气产生,则在该溶液中一定能大量共存的离子是:Cl-、Ba2+、Mg2+

B.某金属硝酸盐受热分解生成金属氧化物、二氧化氮和氧气。若生成的二氧化氮和氧气的物质的量之比为8∶1,则金属元素的化合价在反应过程中的变化是升高

C.从有机物分类看,对氨基苯甲酸丁酯可属于“氨基酸类”“酯类”“芳香烃类”

D.在稀溶液中,H+(aq)+OH-(aq)====H2O(l);ΔH=-57.3 kJ·mol-1,若将含0.5 mol H2SO4的浓硫酸(98%)与含1 mol NaOH的浓溶液混合,放出的热量大于57.3 kJ

查看答案和解析>>

科目:高中化学 来源: 题型:

“对氨基苯甲酸丁酯”是防晒霜中能吸收紫外线的防晒剂。下列关于“对氨基苯甲酸丁酯”的说法正确的是(    )

A.从有机物分类看,它可属于“氨基酸类”“酯类”“芳香烃类”

B.它能与盐酸反应,但不能与苛性钠溶液反应

C.甲酸丁酯基(—COOC4H9)有3种不同结构

D.它的分子式为C11H15NO2

查看答案和解析>>

科目:高中化学 来源: 题型:

“对氨基苯甲酸丁酯”是防晒霜中能吸收紫外线的防晒剂。下列关于“对氨基苯甲酸丁酯”的说法正确的是

       A、它的分子式中有11个碳原子

       B、从有机物分类看,它可属于 “酯类”和“芳香烃类”

       C、它能与盐酸反应,但不能与苛性钠溶液反应

       D、甲酸丁酯基(-COOC4H9)有三种不同结构

查看答案和解析>>

科目:高中化学 来源: 题型:

“对氨基苯甲酸丁酯”是防晒霜中能吸收紫外线的防晒剂。下列关于“对氨基苯甲酸丁酯”的说法正确的是(    )

A.从有机物分类看,它可属于“氨基酸类”“酯类”“芳香烃类”

B.它能与盐酸反应,也能与苛性钠溶液反应

C.甲酸丁酯基(—COOC4H9)有3种不同结构

D.它的分子式C11H11NO2

查看答案和解析>>

同步练习册答案