精英家教网 > 高中化学 > 题目详情

(8分)
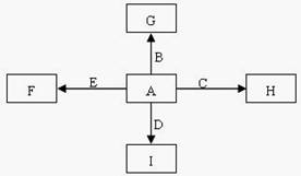
下图中,A、B、C、D、E是单质,G、H、I、F是B、C、D、E分别和A形成的化合物。

已知:
① 反应能放出大量的热,该反应曾应用于铁轨的焊接;
②  I是一种常见的温室气体,它和可以发生反应:2E+I2F+D,F中的E元素的质量分数为60%.
回答问题:
(1)①中反应的化学方程式为____________________________________________;
(2)化合物Ⅰ的电子式为______________________;
(3)C与过量NaOH溶液反应的离子方程式为___________________________;
(4)推测E在I中燃烧可能观察到的现象是__________________________。

(8分,每空2分)


(3)2Al+2OH+2H2O=2AlO2+3H2
(4)镁条剧烈燃烧,生成白色粉末,反应器内壁附着有黑色的碳

解析

练习册系列答案
相关习题

科目:高中化学 来源: 题型:

已知硫粉与亚硫酸钠共热可制得硫代硫酸钠Na2S2O3.现以硫化亚铁为主要原料,按下图制取硫代硫酸钠.下图中的A、B、C和D都是硫单质或疏的化合物,其他不含硫的化合物已略去,各步反应可添加必要的试剂.
精英家教网
请回答问题:
(1)物质A的化学式是
 
;物质C的化学式是
 

(2)反应(Ⅱ)的化学方程式是
 
;反应(V)的化学方程式是
 

查看答案和解析>>

科目:高中化学 来源: 题型:

已知实验室可用苯甲酸钠粉末和碱石灰共热制取苯,该反应发生的原理可表示如下:

下图中,A、B、C、D、E、F在常温时均为气体,A、B分子中的电子数相同,G、H均为氧化物,其中反应生成的水及含铜化合物均略去,反应条件未注明。

试根据上图各物质间的变化回答下列问题:

(1)写出X的化学式_________________;

(2)写出物质B和G的电子式:B_________________、G_________________;

(3)反应Ⅰ的化学方程式__________________________________;

(4)反应Ⅱ的离子方程式__________________________________;

(5)在上述各步反应中,有两种物质既作氧化剂又作还原剂,它们是_________________、_________________。

查看答案和解析>>

科目:高中化学 来源: 题型:

(8分)

下图中,A、B、C、D、E是单质,G、H、I、F是B、C、D、E分别和A形成的化合物。

已知:

①  反应能放出大量的热,该反应曾应用于铁轨的焊接;

②  I是一种常见的温室气体,它和可以发生反应:2E+I2F+D,F中的E元素的质量分数为60%.

回答问题:

(1)①中反应的化学方程式为____________________________________________;

(2)化合物Ⅰ的电子式为______________________;

(3)C与过量NaOH溶液反应的离子方程式为___________________________;

(4)推测E在I中燃烧可能观察到的现象是__________________________。

 

查看答案和解析>>

科目:高中化学 来源:2007年普通高等学校招生全国统一考试(全国卷Ⅰ)理综化学部分 题型:填空题

(15分)  
下图中的A、B、C、D、E、F、G均为有机物

据上图回答问题:
(1)D的化学名称是    
(2)反应③的化学方程式是:             (有机物须用结构简式表示)
(3)B的分子式是:            
A的结构简式是        反应的反应类型是              
(4)符合下列3个条件的B的同分异构体的数目有  
ⅰ)含有邻二取代苯环结构、 ⅱ)与B有相同官能团、ⅲ)不与FeCl3溶液发生显色反应。
写出其中任意一个同分异构体的结构简式            
(5)G是的工业原料,用化学方程式表示G的一种的工业用途            

查看答案和解析>>

科目:高中化学 来源:2011-2012学年内蒙古巴市一中高二下学期4月月考化学试卷(带解析) 题型:实验题

已知下列数据:

下图为实验室制取乙酸乙酯的装置图。

(1)当饱和碳酸钠溶液上方收集到较多液体时,停止加热,取下小试管B,充分振荡,静置。振荡前后的实验现象_________(填选项)。

A.上层液体变薄B.下层液体红色变浅或变为无色
C.有气体产生D.有果香味
(2)为分离乙酸乙酯、乙醇、乙酸的混合物,可按下列步骤进行分离:

①试剂1最好选用___________;
②操作1是_____,所用的主要仪器名称是________;
③试剂2最好选用___________;
④操作2是___________;
⑤操作3中温度计水银球的位置应为如下图中______(填a、b、c、d)所示,在该操作中,除蒸馏烧瓶、温度计外,还需要的玻璃仪器有_______、_______、_______、______,收集乙酸的适宜温度是___________。

查看答案和解析>>

同步练习册答案